Datasheet AD8638, AD8639 (Analog Devices) - 7

ManufacturerAnalog Devices
Description16V Dual Auto-Zero, Rail-to-Rail Output, Precision Amplifier
Pages / Page20 / 7 — AD8638/AD8639. 100. VSY = ±2.5V. VSY = ±8V. I B. 0.1. 0.01. 125. …
RevisionF
File Format / SizePDF / 638 Kb
Document LanguageEnglish

AD8638/AD8639. 100. VSY = ±2.5V. VSY = ±8V. I B. 0.1. 0.01. 125. TEMPERATURE (°C). 10k. SY = ±2.5V. SY = ±8V. V m. Y R. Y L. PPL. DD – VOH. E T. VOL – VSS

AD8638/AD8639 100 VSY = ±2.5V VSY = ±8V I B 0.1 0.01 125 TEMPERATURE (°C) 10k SY = ±2.5V SY = ±8V V m Y R Y L PPL DD – VOH E T VOL – VSS

Model Line for this Datasheet

Text Version of Document

AD8638/AD8639
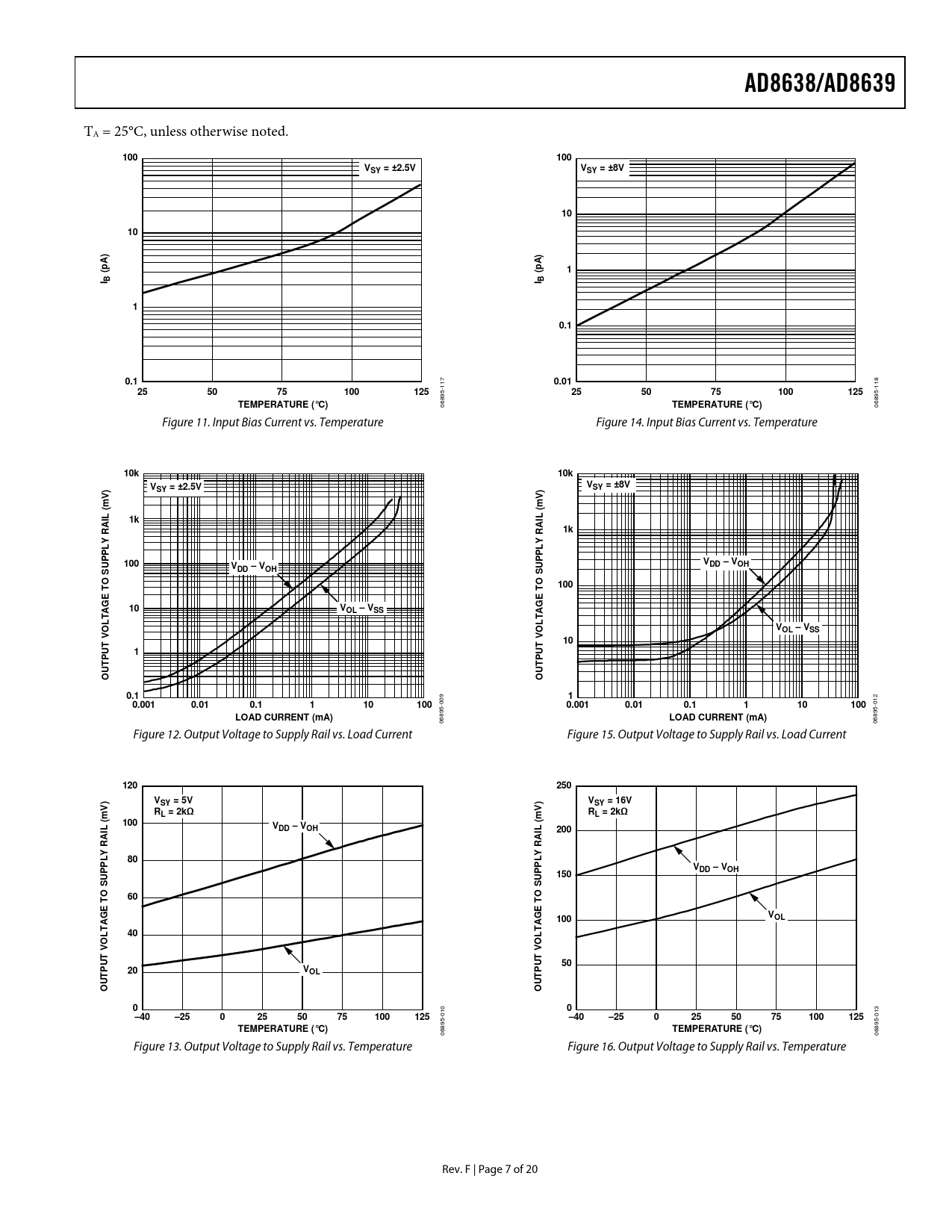
TA = 25°C, unless otherwise noted.
100 100 VSY = ±2.5V VSY = ±8V 10 10 ) ) A A (p (p 1 I B I B 1 0.1 0.1
7
0.01
8 11 11
25 50 75 100 125
5-
25 50 75 100 125
5- 89 89
TEMPERATURE (°C)
06
TEMPERATURE (°C)
06 Figure 11. Input Bias Current vs. Temperature Figure 14. Input Bias Current vs. Temperature
10k 10k V V SY = ±2.5V ) SY = ±8V V) V m (m ( IL 1k IL A A 1k R Y R Y L PPL PP 100 V V U DD – VOH DD – VOH SU S O O 100 E T E T G G A 10 VOL – VSS A T T L L O VOL – VSS V VO T T 10 U 1 P PU T T U U O O 0.1
9
1
2
0.001 0.01 0.1 1 10 100
-00
0.001 0.01 0.1 1 10 100
-01 95 95
LOAD CURRENT (mA)
68
LOAD CURRENT (mA)
68 0 0 Figure 12. Output Voltage to Supply Rail vs. Load Current Figure 15. Output Voltage to Supply Rail vs. Load Current
120 250 ) VSY = 5V ) VSY = 16V V R V L = 2kΩ m RL = 2kΩ m ( 100 ( L VDD – VOH L 200 RAI RAI Y Y L 80 L P P VDD – VOH UP UP 150 S S O 60 O T T E E VOL AG AG 100 T T L 40 L O O V V UT UT 50 P 20 VOL P UT UT O O 0
0
0
3
–40 –25 0 25 50 75 100 125
-01
–40 –25 0 25 50 75 100 125
-01 95 95
TEMPERATURE (°C)
68
TEMPERATURE (°C)
68 0 0 Figure 13. Output Voltage to Supply Rail vs. Temperature Figure 16. Output Voltage to Supply Rail vs. Temperature Rev. F | Page 7 of 20 Document Outline FEATURES APPLICATIONS GENERAL DESCRIPTION PIN CONFIGURATIONS TABLE OF CONTENTS REVISION HISTORY SPECIFICATIONS ELECTRICAL CHARACTERISTICS—5 V OPERATION ELECTRICAL CHARACTERISTICS—16 V OPERATION ABSOLUTE MAXIMUM RATINGS THERMAL RESISTANCE ESD CAUTION TYPICAL PERFORMANCE CHARACTERISTICS THEORY OF OPERATION 1/f NOISE INPUT VOLTAGE RANGE OUTPUT PHASE REVERSAL OVERLOAD RECOVERY TIME INFRARED SENSORS PRECISION CURRENT SHUNT SENSOR OUTPUT AMPLIFIER FOR HIGH PRECISION DACS OUTLINE DIMENSIONS ORDERING GUIDE AUTOMOTIVE PRODUCTS