Datasheet AD8646, AD8647, AD8648 (Analog Devices) - 9
| Manufacturer | Analog Devices |
| Description | 24 MHz Rail-to-Rail Dual Amplifier with Low Power Shutdown function |
| Pages / Page | 18 / 9 — Data Sheet. AD8646/AD8647/AD8648. SY = 2.7V. SY = 5V. RL = 1kΩ. L = 10pF. … |
| Revision | F |
| File Format / Size | PDF / 519 Kb |
| Document Language | English |
Data Sheet. AD8646/AD8647/AD8648. SY = 2.7V. SY = 5V. RL = 1kΩ. L = 10pF. CL = 10pF. rees). re g. PHASE. Deg. S E. M = 52°. 135. SE SH. ФM = 74°. HAS

Model Line for this Datasheet
Text Version of Document
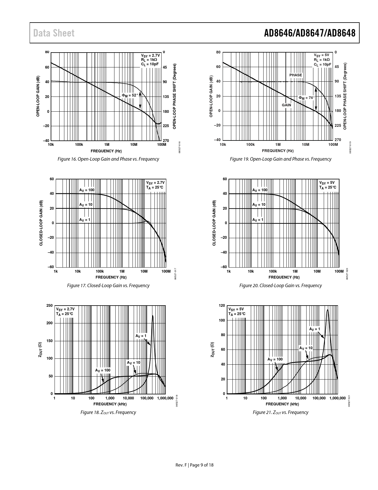
Data Sheet AD8646/AD8647/AD8648 80 0 80 0 V V SY = 2.7V SY = 5V RL = 1kΩ RL = 1kΩ C ) L = 10pF CL = 10pF s 60 45 60 45 e rees) re g ) ) PHASE e Deg dB ( (D 40 dB ( 90 T 40 ( 90 T F IN IF HI IN GA S E Ф GA 20 M = 52° 135 P 20 135 SE SH O ФM = 74° A HAS O -LOOP P -L GAIN N PH P E P 0 180 O 0 180 PEN O OP O O L O -L N- E –20 225 P –20 225 PEN O O –40 270 –40 270 10k 100k 1M 10M 100M
016
10k 100k 1M 10M 100M
019
FREQUENCY (Hz) FREQUENCY (Hz)
06527- 06527- Figure 16. Open-Loop Gain and Phase vs. Frequency Figure 19. Open-Loop Gain and Phase vs. Frequency
60 60 VSY = 2.7V VSY = 5V TA = 25°C T A A = 25°C V = 100 AV = 100 40 40 ) ) dB A dB A ( V = 10 V = 10 20 ( 20 IN IN GA GA AV = 1 AV = 1 0 0 -LOOP -LOOP D D E E –20 –20 LOS LOS C C –40 –40 –60 –60 1k 10k 100k 1M 10M 100M
017
1k 10k 100k 1M 10M 100M
020
FREQUENCY (Hz) FREQUENCY (Hz)
06527- 06527- Figure 17. Closed-Loop Gain vs. Frequency Figure 20. Closed-Loop Gain vs. Frequency
250 120 VSY = 2.7V VSY = 5V TA = 25°C TA = 25°C 100 200 AV = 1 A 80 V = 1 150 (Ω) (Ω) 60 AV = 10 UT UT O O Z Z 100 AV = 100 AV = 10 40 AV = 100 50 20 0 0 1 10 100 1,000 10,000 100,000 1,000,000
018 021
1 10 100 1,000 10,000 100,000 1,000,000 FREQUENCY (kHz) FREQUENCY (kHz)
06527- 06527- Figure 18. ZOUT vs. Frequency Figure 21. ZOUT vs. Frequency Rev. F | Page 9 of 18 Document Outline FEATURES APPLICATIONS PIN CONFIGURATIONS GENERAL DESCRIPTION REVISION HISTORY Revision History: AD8646/AD8647/AD8648 Revision History: AD8646 Revision History: AD8648 SPECIFICATIONS ABSOLUTE MAXIMUM RATINGS THERMAL RESISTANCE ESD CAUTION TYPICAL PERFORMANCE CHARACTERISTICS THEORY OF OPERATION POWER-DOWN OPERATION MULTIPLEXING OPERATION OUTLINE DIMENSIONS ORDERING GUIDE