Datasheet AD8646, AD8647, AD8648 (Analog Devices) - 10
| Manufacturer | Analog Devices |
| Description | 24 MHz Rail-to-Rail Dual Amplifier with Low Power Shutdown function |
| Pages / Page | 18 / 10 — AD8646/AD8647/AD8648. Data Sheet. 100. VSY = 2.7V. VSY = 5V. TA = 25°C. … |
| Revision | F |
| File Format / Size | PDF / 519 Kb |
| Document Language | English |
AD8646/AD8647/AD8648. Data Sheet. 100. VSY = 2.7V. VSY = 5V. TA = 25°C. RR (. 10k. 100k. 10M. 100M. FREQUENCY (Hz). PSRR+. SY = 5V. PSRR–

Model Line for this Datasheet
Text Version of Document
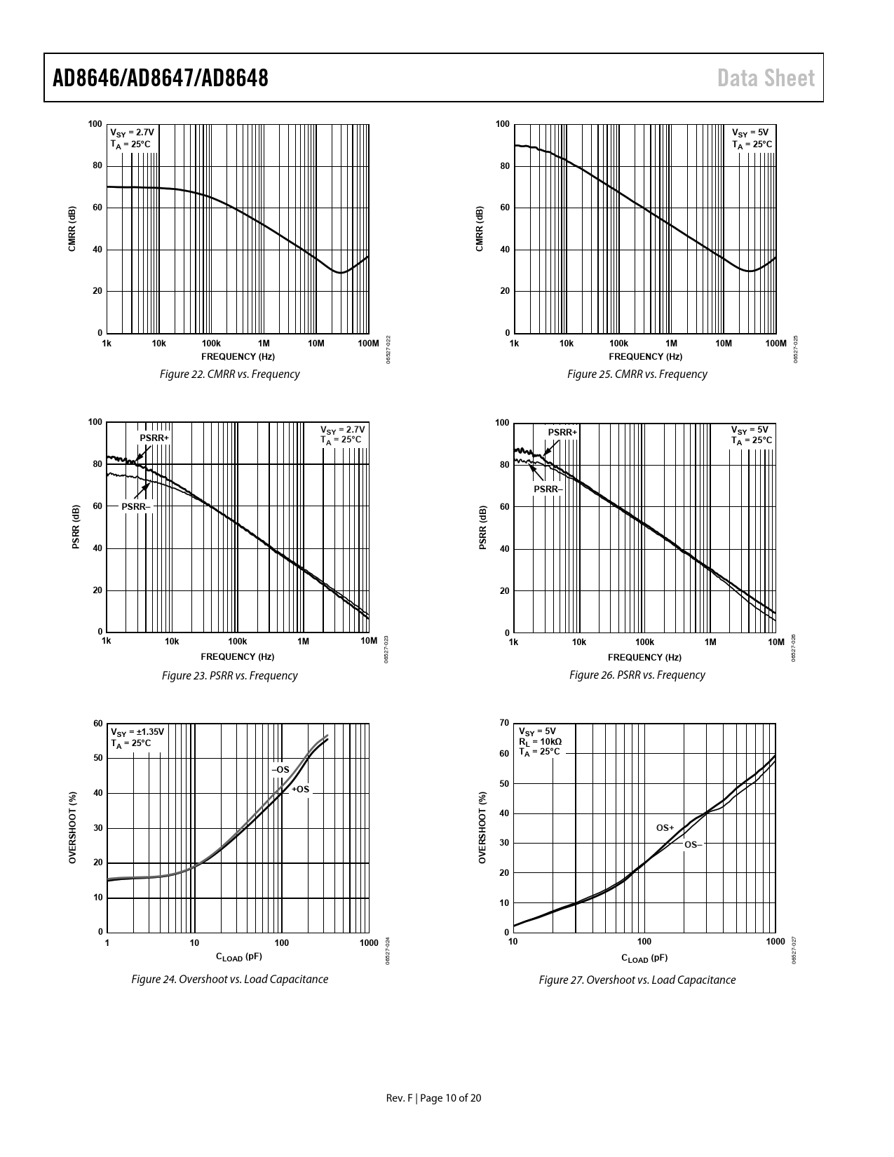
AD8646/AD8647/AD8648 Data Sheet 100 100 VSY = 2.7V VSY = 5V TA = 25°C TA = 25°C 80 80 60 B) 60 B) d d RR ( RR ( CM 40 CM 40 20 20 0 0 1k 10k 100k 1M 10M 100M
22 25 0
1k 10k 100k 1M 10M 100M
0 7- 7-
FREQUENCY (Hz)
52
FREQUENCY (Hz)
52 06 06 Figure 22. CMRR vs. Frequency Figure 25. CMRR vs. Frequency
100 100 VSY = 2.7V V PSRR+ SY = 5V PSRR+ TA = 25°C TA = 25°C 80 80 PSRR– 60 B) PSRR– 60 d B) ( d RR RR ( S S P 40 P 40 20 20 0 0
6
1k 10k 100k 1M 10M
3 02
1k 10k 100k 1M 10M
02 7- 7-
FREQUENCY (Hz)
52
FREQUENCY (Hz)
52 06 06 Figure 23. PSRR vs. Frequency Figure 26. PSRR vs. Frequency
60 70 VSY = ±1.35V VSY = 5V T R A = 25°C L = 10kΩ T 50 A = 25°C 60 –OS 50 ) 40 +OS ) % (% ( T O 40 O 30 OOT H OS+ SH S R 30 ER E OS– V V O 20 O 20 10 10 0 0 1 10 100 1000
4
10 100 1000
7 02 02 7- 7-
CLOAD (pF)
52
C
52
LOAD (pF)
06 06 Figure 24. Overshoot vs. Load Capacitance Figure 27. Overshoot vs. Load Capacitance Rev. F | Page 10 of 20 Document Outline FEATURES APPLICATIONS PIN CONFIGURATIONS GENERAL DESCRIPTION REVISION HISTORY Revision History: AD8646/AD8647/AD8648 Revision History: AD8646 Revision History: AD8648 SPECIFICATIONS ABSOLUTE MAXIMUM RATINGS THERMAL RESISTANCE ESD CAUTION TYPICAL PERFORMANCE CHARACTERISTICS THEORY OF OPERATION POWER-DOWN OPERATION MULTIPLEXING OPERATION OUTLINE DIMENSIONS ORDERING GUIDE