Datasheet ADA4310-1 (Analog Devices) - 10

ManufacturerAnalog Devices
DescriptionLow Cost, Dual, High Current Output Line Driver with Shutdown
Pages / Page15 / 10 — Data Sheet. ADA4310-1. –20. –40. B) d K ( AL. –60. T S S. CRO. –80. –100. …
RevisionC
File Format / SizePDF / 438 Kb
Document LanguageEnglish

Data Sheet. ADA4310-1. –20. –40. B) d K ( AL. –60. T S S. CRO. –80. –100. –120. 0.1. 100. 1000. FREQUENCY (MHz)

Data Sheet ADA4310-1 –20 –40 B) d K ( AL –60 T S S CRO –80 –100 –120 0.1 100 1000 FREQUENCY (MHz)

Text Version of Document

Data Sheet ADA4310-1 0 –20 –40 B) d K ( AL –60 T S S CRO –80 –100 –120 0.1 1 10 100 1000
014
FREQUENCY (MHz)
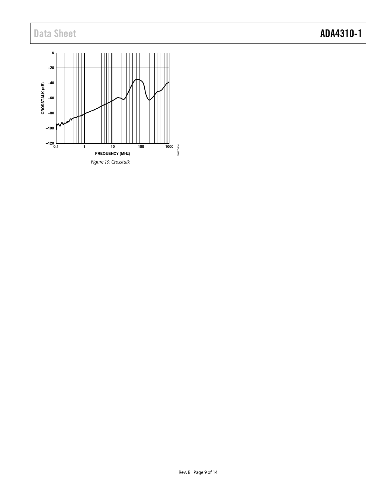
06027- Figure 19. Crosstalk Rev. B | Page 9 of 14 Document Outline FEATURES APPLICATIONS PIN CONFIGURATIONS GENERAL DESCRIPTION REVISION HISTORY SPECIFICATIONS ABSOLUTE MAXIMUM RATINGS THERMAL RESISTANCE Maximum Power Dissipation ESD CAUTION PIN CONFIGURATIONS AND FUNCTION DESCRIPTIONS TYPICAL PERFORMANCE CHARACTERISTICS THEORY OF OPERATION APPLICATION INFORMATION FEEDBACK RESISTOR SELECTION POWER CONTROL MODES OF OPERATION EXPOSED THERMAL PAD CONNECTIONS POWER LINE APPLICATION BOARD LAYOUT POWER SUPPLY BYPASSING OUTLINE DIMENSIONS ORDERING GUIDE