Datasheet ADXL312 (Analog Devices) - 9
| Manufacturer | Analog Devices |
| Description | 3-Axis, ±1.5 g/±3 g/±6 g/±12 g Digital Accelerometer |
| Pages / Page | 33 / 9 — ADXL312. Data Sheet. C ER. PER. 312. 318. 324. 330. 336. 342. 348. 354. … |
| Revision | B |
| File Format / Size | PDF / 536 Kb |
| Document Language | English |
ADXL312. Data Sheet. C ER. PER. 312. 318. 324. 330. 336. 342. 348. 354. 360. 366. 372. 378. 384. 030. 025. 020. 015. 010. 005. SENSITIVITY (LSB/g. –0

Model Line for this Datasheet
Text Version of Document
ADXL312 Data Sheet 70 30 60 ) 25 ) % % ( ( N 50 N O O TI 20 TI A A L L 40 U PU P 15 PO PO F 30 F O O T T EN 10 EN C 20 C ER PER P 5 10 0 0 0 312 318 324 330 336 342 348 354 360 366 372 378 384
9
030 025 020 015 010 005 005 010 015 020 025 030
2 00 01 1-
0. 0. 0. 0. 0. 0.
1-
SENSITIVITY (LSB/g ) –0. –0. –0. –0. –0. –0.
79 79 08 08
SENSITIVITY TEMPERATURE COEFFICIENT (%/°C)
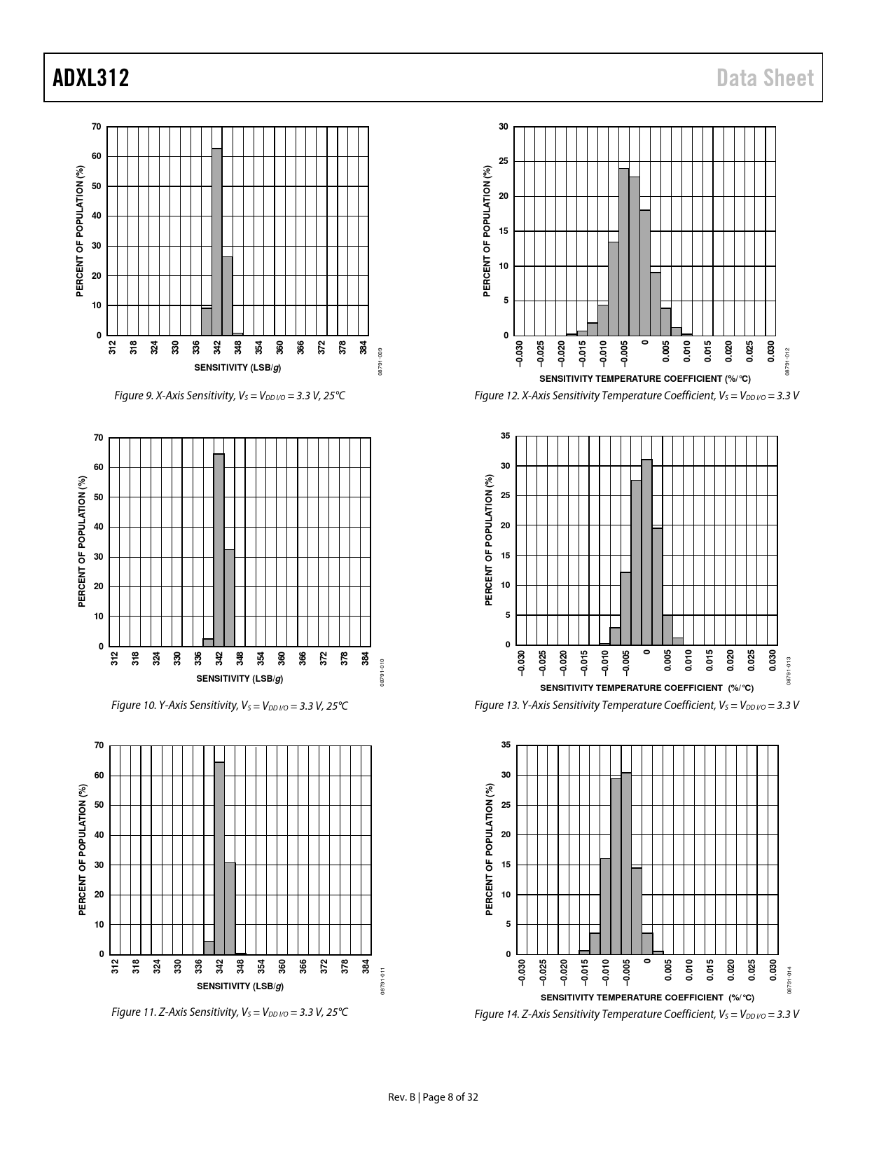
Figure 9. X-Axis Sensitivity, VS = VDD I/O = 3.3 V, 25°C Figure 12. X-Axis Sensitivity Temperature Coefficient, VS = VDD I/O = 3.3 V
70 35 60 30 ) ) % % ( N ( 50 25 IO ION T T A A L UL 40 U 20 P O OP P P F 30 15 O OF T NT N E 20 C 10 RCE R E E P P 10 5 0 0 0 05 10 15 20 25 30 312 318 324 330 336 342 348 354 360 366 372 378 384
0
030 025 020 015 010 005 0 0 0 0 0 0
13 01
0. 0. 0. 0. 0. 0. 0. 0. 0. 0. 0. 0.
0 1-
– – – – – –
1-
SENSITIVITY (LSB/g )
79 79 08 08
SENSITIVITY TEMPERATURE COEFFICIENT (%/°C)
Figure 10. Y-Axis Sensitivity, VS = VDD I/O = 3.3 V, 25°C Figure 13. Y-Axis Sensitivity Temperature Coefficient, VS = VDD I/O = 3.3 V
70 35 60 30 ) ) % % ( ( N 50 25 IO ION T T A A L L 40 U 20 PU OP PO P F 30 15 O OF T T N EN E C 20 C 10 R E PER P 10 5 0 0 0 5 0 5 0 5 0 3 2 2 1 1 0 05 10 15 20 25 30 312 318 324 330 336 342 348 354 360 366 372 378 384
1 1
0 0 0 0 0 0
14 0
.0 .0 .0 .0 .0 .0
0 1-
0. 0. 0. 0. 0. 0.
1-
SENSITIVITY (LSB/g ) –0 –0 –0 –0 –0 –0
79 79 08 08
SENSITIVITY TEMPERATURE COEFFICIENT (%/°C)
Figure 11. Z-Axis Sensitivity, VS = VDD I/O = 3.3 V, 25°C Figure 14. Z-Axis Sensitivity Temperature Coefficient, VS = VDD I/O = 3.3 V Rev. B | Page 8 of 32 Document Outline Features Applications General Description Functional Block Diagram Revision History Specifications Absolute Maximum Ratings Thermal Resistance ESD Caution Pin Configuration and Function Descriptions Typical Performance Characteristics Theory of Operation Power Sequencing Power Savings Power Modes Autosleep Mode Standby Mode Serial Communications Serial Port I/O Default states SPI Preventing Bus Traffic Errors I2C Interrupts DATA_READY Activity Inactivity Watermark Overrun FIFO Bypass Mode FIFO Mode Stream Mode Trigger Mode Retrieving Data from FIFO Self-Test Register Map Register Definitions Register 0x00—DEVID (Read Only) Register 0x1E, Register 0x1F, Register 0x20—OFSX, OFSY, OFSZ (Read/Write) Register 0x24—THRESH_ACT (Read/Write) Register 0x25—THRESH_INACT (Read/Write) Register 0x26—TIME_INACT (Read/Write) Register 0x27—ACT_INACT_CTL (Read/Write) ACT AC/DC and INACT AC/DC Bits ACT_x Enable Bits and INACT_x Enable Bits Register 0x2C—BW_RATE (Read/Write) LOW_POWER Bit Rate Bits Register 0x2D—POWER_CTL (Read/Write) Link Bit AUTO_SLEEP Bit Measure Bit Sleep Bit Wake-Up Bits Register 0x2E—INT_ENABLE (Read/Write) Register 0x2F—INT_MAP (Read/Write) Register 0x30—INT_SOURCE (Read Only) Register 0x31—DATA_FORMAT (Read/Write) SELF_TEST Bit SPI Bit INT_INVERT Bit FULL_RES Bit Justify Bit Range Bits Register 0x32 to Register 0x37—DATAX0, DATAX1, DATAY0, DATAY1, DATAZ0, DATAZ1 (Read Only) Register 0x38—FIFO_CTL (Read/Write) FIFO_MODE Bits Trigger Bit Samples Bits 0x39—FIFO_STATUS (Read Only) FIFO_TRIG Bit Entries Bits Applications Information Power Supply Decoupling Mechanical Considerations for Mounting Threshold Link Mode Sleep Mode vs. Low Power Mode Using Self-Test Data Formatting of Upper Data Rates Noise Performance Axes of Acceleration Sensitivity Solder Profile Outline Dimensions Ordering Guide Automotive Products