Datasheet CD4098BMS (Intersil) - 4
| Manufacturer | Intersil |
| Description | CMOS Dual Monostable Multivibrator |
| Pages / Page | 11 / 4 — TABLE 2. AC ELECTRICAL PERFORMANCE CHARACTERISTICS. GROUP A. LIMITS. … |
| Revision | 2017-12-22 |
| File Format / Size | PDF / 327 Kb |
| Document Language | English |
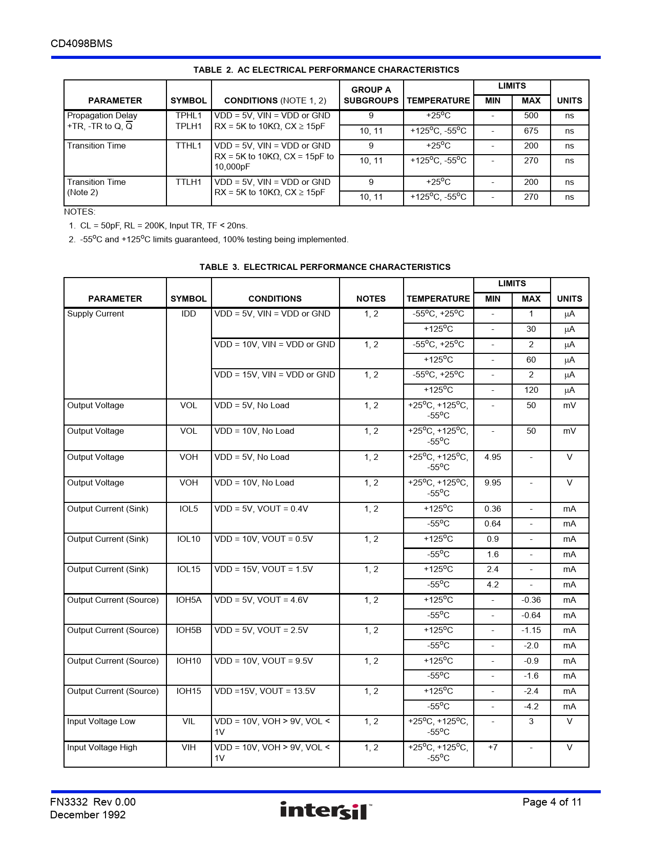
TABLE 2. AC ELECTRICAL PERFORMANCE CHARACTERISTICS. GROUP A. LIMITS. PARAMETER. SYMBOL. CONDITIONS. SUBGROUPS TEMPERATURE. MIN. MAX

Model Line for this Datasheet
Text Version of Document
CD4098BMS
TABLE 2. AC ELECTRICAL PERFORMANCE CHARACTERISTICS GROUP A LIMITS PARAMETER SYMBOL CONDITIONS
(NOTE 1, 2)
SUBGROUPS TEMPERATURE MIN MAX UNITS
Propagation Delay TPHL1 VDD = 5V, VIN = VDD or GND 9 +25oC - 500 ns +TR, -TR to Q, Q TPLH1 RX = 5K to 10K, CX 15pF 10, 11 +125oC, -55oC - 675 ns Transition Time TTHL1 VDD = 5V, VIN = VDD or GND 9 +25oC - 200 ns RX = 5K to 10K, CX = 15pF to 10, 11 +125oC, -55oC - 270 ns 10,000pF Transition Time TTLH1 VDD = 5V, VIN = VDD or GND 9 +25oC - 200 ns (Note 2) RX = 5K to 10K, CX 15pF 10, 11 +125oC, -55oC - 270 ns NOTES: 1. CL = 50pF, RL = 200K, Input TR, TF < 20ns. 2. -55oC and +125oC limits guaranteed, 100% testing being implemented.
TABLE 3. ELECTRICAL PERFORMANCE CHARACTERISTICS LIMITS PARAMETER SYMBOL CONDITIONS NOTES TEMPERATURE MIN MAX UNITS
Supply Current IDD VDD = 5V, VIN = VDD or GND 1, 2 -55oC, +25oC - 1 A +125oC - 30 A VDD = 10V, VIN = VDD or GND 1, 2 -55oC, +25oC - 2 A +125oC - 60 A VDD = 15V, VIN = VDD or GND 1, 2 -55oC, +25oC - 2 A +125oC - 120 A Output Voltage VOL VDD = 5V, No Load 1, 2 +25oC, +125oC, - 50 mV -55oC Output Voltage VOL VDD = 10V, No Load 1, 2 +25oC, +125oC, - 50 mV -55oC Output Voltage VOH VDD = 5V, No Load 1, 2 +25oC, +125oC, 4.95 - V -55oC Output Voltage VOH VDD = 10V, No Load 1, 2 +25oC, +125oC, 9.95 - V -55oC Output Current (Sink) IOL5 VDD = 5V, VOUT = 0.4V 1, 2 +125oC 0.36 - mA -55oC 0.64 - mA Output Current (Sink) IOL10 VDD = 10V, VOUT = 0.5V 1, 2 +125oC 0.9 - mA -55oC 1.6 - mA Output Current (Sink) IOL15 VDD = 15V, VOUT = 1.5V 1, 2 +125oC 2.4 - mA -55oC 4.2 - mA Output Current (Source) IOH5A VDD = 5V, VOUT = 4.6V 1, 2 +125oC - -0.36 mA -55oC - -0.64 mA Output Current (Source) IOH5B VDD = 5V, VOUT = 2.5V 1, 2 +125oC - -1.15 mA -55oC - -2.0 mA Output Current (Source) IOH10 VDD = 10V, VOUT = 9.5V 1, 2 +125oC - -0.9 mA -55oC - -1.6 mA Output Current (Source) IOH15 VDD =15V, VOUT = 13.5V 1, 2 +125oC - -2.4 mA -55oC - -4.2 mA Input Voltage Low VIL VDD = 10V, VOH > 9V, VOL < 1, 2 +25oC, +125oC, - 3 V 1V -55oC Input Voltage High VIH VDD = 10V, VOH > 9V, VOL < 1, 2 +25oC, +125oC, +7 - V 1V -55oC FN3332 Rev 0.00 Page 4 of 11 December 1992