Datasheet AD8340 (Analog Devices) - 5

ManufacturerAnalog Devices
Description700 MHz TO 1000 MHz RF Vector Modulator
Pages / Page20 / 5 — Data Sheet. AD8340. PIN CONFIGURATION AND FUNCTION DESCRIPTIONS. FIM. …
RevisionC
File Format / SizePDF / 429 Kb
Document LanguageEnglish

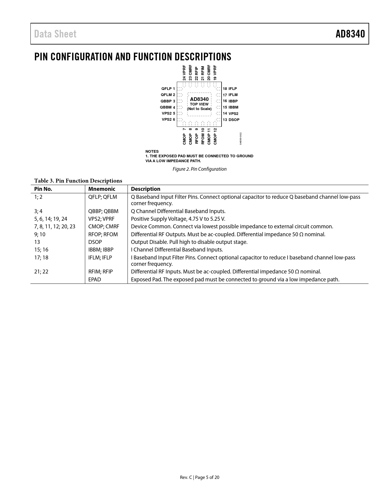
Data Sheet. AD8340. PIN CONFIGURATION AND FUNCTION DESCRIPTIONS. FIM. VPR. QFLP 1. 18 IFLP. QFLM 2. 17 IFLM. QBBP 3. 16 IBBP. TOP VIEW. QBBM 4

Data Sheet AD8340 PIN CONFIGURATION AND FUNCTION DESCRIPTIONS FIM VPR QFLP 1 18 IFLP QFLM 2 17 IFLM QBBP 3 16 IBBP TOP VIEW QBBM 4

Model Line for this Datasheet

Text Version of Document

Data Sheet AD8340 PIN CONFIGURATION AND FUNCTION DESCRIPTIONS F F RF RF IP FIM VPR CM RF R CM VPR 24 23 22 21 20 19 QFLP 1 18 IFLP QFLM 2 17 IFLM AD8340 QBBP 3 16 IBBP TOP VIEW QBBM 4 15 IBBM (Not to Scale) VPS2 5 14 VPS2 VPS2 6 13 DSOP 7 8 9 1 10 1 12 P P P P P
002
O O O O O FOM CM CM RF R CM CM
04699-
NOTES 1. THE EXPOSED PAD MUST BE CONNECTED TO GROUND VIA A LOW IMPEDANCE PATH.
Figure 2. Pin Configuration
Table 3. Pin Function Descriptions Pin No. Mnemonic Description
1; 2 QFLP; QFLM Q Baseband Input Filter Pins. Connect optional capacitor to reduce Q baseband channel low-pass corner frequency. 3; 4 QBBP; QBBM Q Channel Differential Baseband Inputs. 5, 6, 14; 19, 24 VPS2; VPRF Positive Supply Voltage, 4.75 V to 5.25 V. 7, 8, 11, 12; 20, 23 CMOP; CMRF Device Common. Connect via lowest possible impedance to external circuit common. 9; 10 RFOP; RFOM Differential RF Outputs. Must be ac-coupled. Differential impedance 50 Ω nominal. 13 DSOP Output Disable. Pull high to disable output stage. 15; 16 IBBM; IBBP I Channel Differential Baseband Inputs. 17; 18 IFLM; IFLP I Baseband Input Filter Pins. Connect optional capacitor to reduce I baseband channel low-pass corner frequency. 21; 22 RFIM; RFIP Differential RF Inputs. Must be ac-coupled. Differential impedance 50 Ω nominal. EPAD Exposed Pad. The exposed pad must be connected to ground via a low impedance path. Rev. C | Page 5 of 20 Document Outline Features Applications Functional Block Diagram General Description Table of Contents Revision History Specifications Absolute Maximum Ratings ESD Caution Pin Configuration and Function Descriptions Typical Performance Characteristics Theory of Operation RF Quadrature Generator I-Q Attenuators and Baseband Amplifiers Output Amplifier Noise and Distortion Gain and Phase Accuracy RF Frequency Range Applications Information Using the AD8340 RF Input and Matching RF Output and Matching Driving the I-Q Baseband Controls Interfacing to High Speed DACs CDMA2000 Application Evaluation Board Schematic and Artwork Outline Dimensions Ordering Guide