Datasheet ADP5024 (Analog Devices) - 8

ManufacturerAnalog Devices
DescriptionDual 3 MHz, 1200 mA Buck Regulators with One 300 mA LDO
Pages / Page28 / 8 — ADP5024. Data Sheet. PIN CONFIGURATION AND FUNCTION DESCRIPTIONS. AGND 1. …
RevisionE
File Format / SizePDF / 764 Kb
Document LanguageEnglish

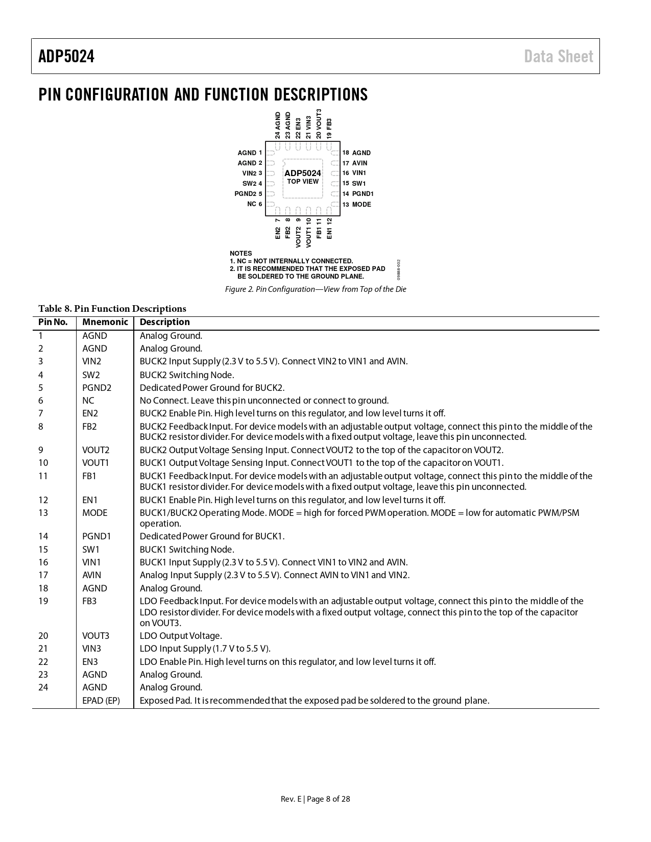
ADP5024. Data Sheet. PIN CONFIGURATION AND FUNCTION DESCRIPTIONS. AGND 1. 18 AGND. AGND 2. 17 AVIN. VIN2 3. 16 VIN1. SW2 4. TOP VIEW. 15 SW1

ADP5024 Data Sheet PIN CONFIGURATION AND FUNCTION DESCRIPTIONS AGND 1 18 AGND AGND 2 17 AVIN VIN2 3 16 VIN1 SW2 4 TOP VIEW 15 SW1

Model Line for this Datasheet

Text Version of Document

ADP5024 Data Sheet PIN CONFIGURATION AND FUNCTION DESCRIPTIONS T3 ND ND N3 N3 I OU B3 AG AG E V V F 24 23 22 21 20 19 AGND 1 18 AGND AGND 2 17 AVIN VIN2 3 ADP5024 16 VIN1 SW2 4 TOP VIEW 15 SW1 PGND2 5 14 PGND1 NC 6 13 MODE 7 8 9 10 11 12 N2 B2 T2 T1 B1 N1 E F F E OU OU V V NOTES 1. NC = NOT INTERNALLY CONNECTED.
002
2. IT IS RECOMMENDED THAT THE EXPOSED PAD BE SOLDERED TO THE GROUND PLANE.
09888- Figure 2. Pin Configuration—View from Top of the Die
Table 8. Pin Function Descriptions Pin No. Mnemonic Description
1 AGND Analog Ground. 2 AGND Analog Ground. 3 VIN2 BUCK2 Input Supply (2.3 V to 5.5 V). Connect VIN2 to VIN1 and AVIN. 4 SW2 BUCK2 Switching Node. 5 PGND2 Dedicated Power Ground for BUCK2. 6 NC No Connect. Leave this pin unconnected or connect to ground. 7 EN2 BUCK2 Enable Pin. High level turns on this regulator, and low level turns it off. 8 FB2 BUCK2 Feedback Input. For device models with an adjustable output voltage, connect this pin to the middle of the BUCK2 resistor divider. For device models with a fixed output voltage, leave this pin unconnected. 9 VOUT2 BUCK2 Output Voltage Sensing Input. Connect VOUT2 to the top of the capacitor on VOUT2. 10 VOUT1 BUCK1 Output Voltage Sensing Input. Connect VOUT1 to the top of the capacitor on VOUT1. 11 FB1 BUCK1 Feedback Input. For device models with an adjustable output voltage, connect this pin to the middle of the BUCK1 resistor divider. For device models with a fixed output voltage, leave this pin unconnected. 12 EN1 BUCK1 Enable Pin. High level turns on this regulator, and low level turns it off. 13 MODE BUCK1/BUCK2 Operating Mode. MODE = high for forced PWM operation. MODE = low for automatic PWM/PSM operation. 14 PGND1 Dedicated Power Ground for BUCK1. 15 SW1 BUCK1 Switching Node. 16 VIN1 BUCK1 Input Supply (2.3 V to 5.5 V). Connect VIN1 to VIN2 and AVIN. 17 AVIN Analog Input Supply (2.3 V to 5.5 V). Connect AVIN to VIN1 and VIN2. 18 AGND Analog Ground. 19 FB3 LDO Feedback Input. For device models with an adjustable output voltage, connect this pin to the middle of the LDO resistor divider. For device models with a fixed output voltage, connect this pin to the top of the capacitor on VOUT3. 20 VOUT3 LDO Output Voltage. 21 VIN3 LDO Input Supply (1.7 V to 5.5 V). 22 EN3 LDO Enable Pin. High level turns on this regulator, and low level turns it off. 23 AGND Analog Ground. 24 AGND Analog Ground. EPAD (EP) Exposed Pad. It is recommended that the exposed pad be soldered to the ground plane. Rev. E | Page 8 of 28 Document Outline Features Applications General Description Typical Application Circuit Revision History Specifications General Specifications BUCK1 and BUCK2 Specifications LDO Specifications Input and Output Capacitor, Recommended Specifications Absolute Maximum Ratings Thermal Resistance ESD Caution Pin Configuration and Function Descriptions Typical Performance Characteristics Theory of Operation Power Management Unit Thermal Protection Undervoltage Lockout Enable/Shutdown BUCK1 and BUCK2 Control Scheme PWM Mode Power Save Mode (PSM) PSM Current Threshold Oscillator/Phasing of Inductor Switching Short-Circuit Protection Soft Start Current Limit 100% Duty Operation Active Pull-Down Resistors LDO Applications Information Buck External Component Selection Feedback Resistors Inductor Output Capacitor Input Capacitor LDO External Component Selection Feedback Resistors Output Capacitor Input Bypass Capacitor Input and Output Capacitor Properties Power Dissipation and Thermal Considerations Buck Regulator Power Dissipation LDO Regulator Power Dissipation Junction Temperature PCB Layout Guidelines Typical Application Schematics Bill of Materials Outline Dimensions Ordering Guide