Datasheet SMBT3906...MMBT3906 (Infineon) - 7
| Manufacturer | Infineon |
| Description | PNP Silicon Switching Transistors |
| Pages / Page | 12 / 7 — SMBT3906...MMBT3906. Permissible Puls Load. Permissible Pulse Load |
| Revision | 01_01 |
| File Format / Size | PDF / 908 Kb |
| Document Language | English |
SMBT3906...MMBT3906. Permissible Puls Load. Permissible Pulse Load

Model Line for this Datasheet
Text Version of Document
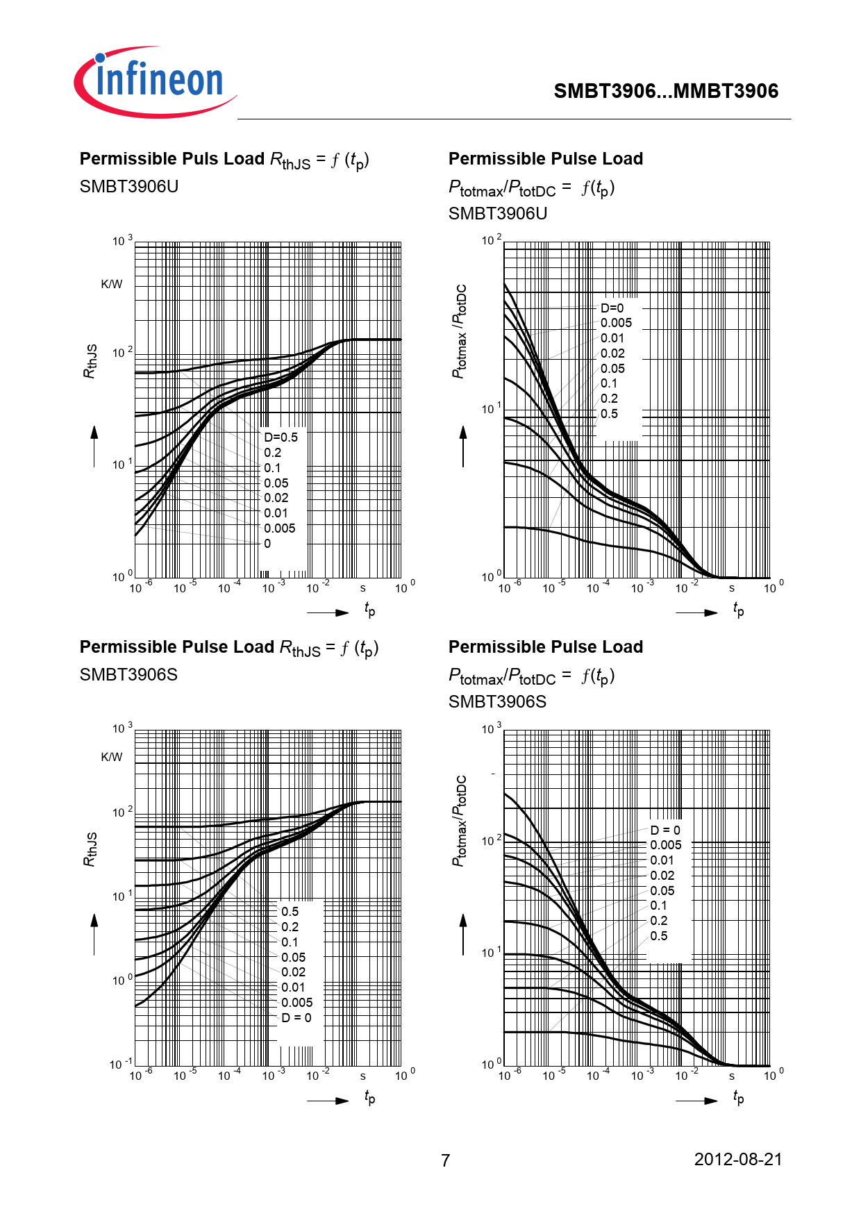
SMBT3906...MMBT3906 Permissible Puls Load
RthJS = ƒ (tp)
Permissible Pulse Load
SMBT3906U Ptotmax/PtotDC = ƒ(tp) SMBT3906U 3 10 2 10 K/W totDC D=0 /P 0.005 0.01 S 2 10 0.02 thJ totmax R P 0.05 0.1 0.2 1 10 0.5 D=0.5 0.2 1 10 0.1 0.05 0.02 0.01 0.005 0 0 10 0 10 10 -6 10 -5 10 -4 10 -3 10 -2 10 0 s 10 -6 10 -5 10 -4 10 -3 10 -2 10 0 s tp tp
Permissible Pulse Load
RthJS = ƒ (tp)
Permissible Pulse Load
SMBT3906S Ptotmax/PtotDC = ƒ(tp) SMBT3906S 3 10 3 10 K/W - totDC 2 10 /P S D = 0 2 10 0.005 thJ totmax R P 0.01 0.02 1 0.05 10 0.5 0.1 0.2 0.2 0.1 0.5 1 0.05 10 0 0.02 10 0.01 0.005 D = 0 -1 10 0 10 10 -6 10 -5 10 -4 10 -3 10 -2 10 0 s 10 -6 10 -5 10 -4 10 -3 10 -2 10 0 s tp tp 7 2012-08-21