Datasheet SMBT3904PN (Infineon) - 5
| Manufacturer | Infineon |
| Description | NPN / PNP Silicon Switching Transistor Array |
| Pages / Page | 9 / 5 — SMBT3904...PN. Permissible Pulse Load. Permissible Puls Load |
| Revision | 01_01 |
| File Format / Size | PDF / 868 Kb |
| Document Language | English |
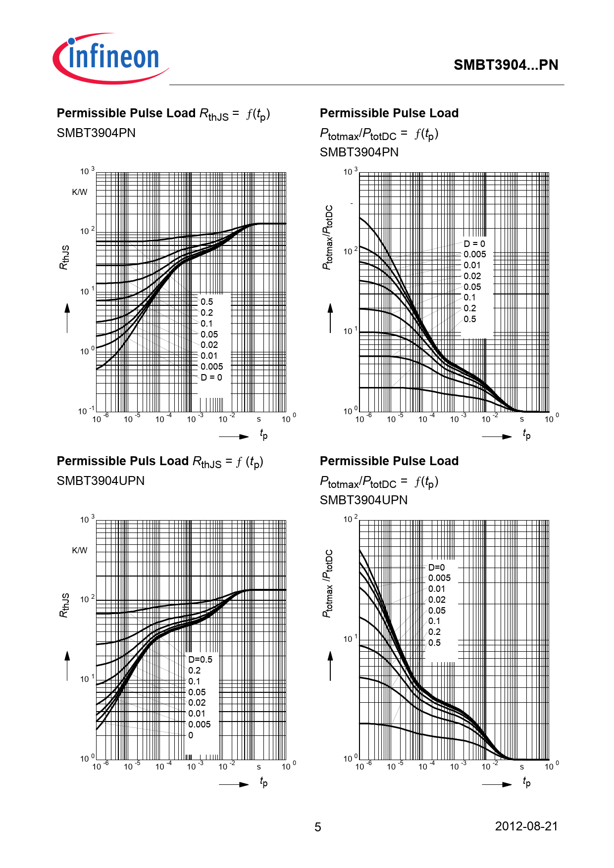
SMBT3904...PN. Permissible Pulse Load. Permissible Puls Load

Model Line for this Datasheet
Text Version of Document
SMBT3904...PN Permissible Pulse Load
R
Permissible Pulse Load
thJS = ƒ(tp) SMBT3904PN Ptotmax/PtotDC = ƒ(tp) SMBT3904PN 3 3 10 10 K/W - totDC 2 10 /P D = 0 S 2 10 0.005 thJ totmax R P 0.01 0.02 1 0.05 10 0.1 0.5 0.2 0.2 0.5 0.1 1 10 0.05 0 0.02 10 0.01 0.005 D = 0 -1 0 10 10 10 -6 10 -5 10 -4 10 -3 10 -2 10 0 s 10 -6 10 -5 10 -4 10 -3 10 -2 10 0 s t t p p
Permissible Puls Load
RthJS = ƒ (tp)
Permissible Pulse Load
SMBT3904UPN Ptotmax/PtotDC = ƒ(tp) SMBT3904UPN 3 10 2 10 K/W totDC D=0 /P 0.005 0.01 S 2 10 0.02 thJ totmax R P 0.05 0.1 0.2 1 10 0.5 D=0.5 0.2 1 10 0.1 0.05 0.02 0.01 0.005 0 0 10 0 10 10 -6 10 -5 10 -4 10 -3 10 -2 10 0 s 10 -6 10 -5 10 -4 10 -3 10 -2 10 0 s tp tp 5 2012-08-21