Datasheet ADL5610 (Analog Devices) - 6
| Manufacturer | Analog Devices |
| Description | 30 MHz to 6 GHz RF/IF Gain Block |
| Pages / Page | 16 / 6 — ADL5610. Data Sheet. Frequency. S11. S21. S12. S22. (MHz). Magnitude (dB) … |
| Revision | B |
| File Format / Size | PDF / 558 Kb |
| Document Language | English |
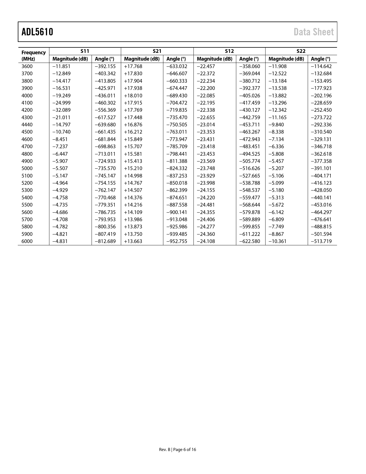
ADL5610. Data Sheet. Frequency. S11. S21. S12. S22. (MHz). Magnitude (dB) Angle (°)

Model Line for this Datasheet
Text Version of Document
ADL5610 Data Sheet Frequency S11 S21 S12 S22 (MHz) Magnitude (dB) Angle (°) Magnitude (dB) Angle (°) Magnitude (dB) Angle (°) Magnitude (dB) Angle (°)
3600 −11.851 −392.155 +17.768 −633.032 −22.457 −358.060 −11.908 −114.642 3700 −12.849 −403.342 +17.830 −646.607 −22.372 −369.044 −12.522 −132.684 3800 −14.417 −413.805 +17.904 −660.333 −22.234 −380.712 −13.184 −153.495 3900 −16.531 −425.971 +17.938 −674.447 −22.200 −392.377 −13.538 −177.923 4000 −19.249 −436.011 +18.010 −689.430 −22.085 −405.026 −13.882 −202.196 4100 −24.999 −460.302 +17.915 −704.472 −22.195 −417.459 −13.296 −228.659 4200 −32.089 −556.369 +17.769 −719.835 −22.338 −430.127 −12.342 −252.450 4300 −21.011 −617.527 +17.448 −735.470 −22.655 −442.759 −11.165 −273.722 4440 −14.797 −639.680 +16.876 −750.505 −23.014 −453.711 −9.840 −292.336 4500 −10.740 −661.435 +16.212 −763.011 −23.353 −463.267 −8.338 −310.540 4600 −8.451 −681.844 +15.849 −773.947 −23.431 −472.943 −7.134 −329.131 4700 −7.237 −698.863 +15.707 −785.709 −23.418 −483.451 −6.336 −346.718 4800 −6.447 −713.011 +15.581 −798.441 −23.453 −494.525 −5.808 −362.618 4900 −5.907 −724.933 +15.413 −811.388 −23.569 −505.774 −5.457 −377.358 5000 −5.507 −735.570 +15.210 −824.332 −23.748 −516.626 −5.207 −391.101 5100 −5.147 −745.147 +14.998 −837.253 −23.929 −527.665 −5.106 −404.171 5200 −4.964 −754.155 +14.767 −850.018 −23.998 −538.788 −5.099 −416.123 5300 −4.929 −762.147 +14.507 −862.399 −24.155 −548.537 −5.180 −428.050 5400 −4.758 −770.468 +14.376 −874.651 −24.220 −559.477 −5.313 −440.141 5500 −4.735 −779.351 +14.216 −887.558 −24.481 −568.644 −5.672 −453.016 5600 −4.686 −786.735 +14.109 −900.141 −24.355 −579.878 −6.142 −464.297 5700 −4.708 −793.953 +13.986 −913.048 −24.406 −589.889 −6.809 −476.641 5800 −4.782 −800.356 +13.873 −925.986 −24.277 −599.855 −7.749 −488.815 5900 −4.821 −807.419 +13.750 −939.485 −24.360 −611.222 −8.867 −501.594 6000 −4.831 −812.689 +13.663 −952.755 −24.108 −622.580 −10.361 −513.719 Rev. B | Page 6 of 16 Document Outline Features Functional Block Diagram General Description Table of Contents Revision History Specifications Typical Scattering Parameters (S-Parameters) Absolute Maximum Ratings Thermal Resistance ESD Caution Pin Configuration and Function Descriptions Typical Performance Characteristics 500 MHz to 6 GHz Frequency Band 30 MHz to 500 MHz Frequency Band General Applications Information Basic Connections Soldering Information and Recommended PCB Land Pattern W-CDMA ACPR Performance Evaluation Board Outline Dimensions Ordering Guide