Datasheet AD7980-EP (Analog Devices) - 9

ManufacturerAnalog Devices
Description16-Bit, 1 MSPS, PulSAR ADC in MSOP/LFCSP
Pages / Page12 / 9 — Enhanced Product. AD7980-EP. 180k. 60k. 168591. 160k. 52212. 50k. 140k. …
RevisionA
File Format / SizePDF / 340 Kb
Document LanguageEnglish

Enhanced Product. AD7980-EP. 180k. 60k. 168591. 160k. 52212. 50k. 140k. 120k. 40k. 32417. 100k. 31340. UNT. 30k. 80k. 20k. 52710. 38751. 10k. 7225. 6807. 539. 1201. 502

Enhanced Product AD7980-EP 180k 60k 168591 160k 52212 50k 140k 120k 40k 32417 100k 31340 UNT 30k 80k 20k 52710 38751 10k 7225 6807 539 1201 502

Model Line for this Datasheet

Text Version of Document

Enhanced Product AD7980-EP 180k 60k 168591 160k 52212 50k 140k 120k 40k S 32417 100k S 31340 UNT UNT 30k CO 80k CO 60k 20k 52710 38751 40k 10k 7225 6807 20k 539 1201 502 829 33 0 27 0 2 0 0 0 0 0 16 14 0 0 0 0
9
8003 8004 8005 8006 8007 8008 8009 800A 800B 800C 800D 800E 800F
2
7FFA 7FFB 7FFC 7FFD 7FFE 7FFF 8000 8001 8002 8003 8004 8005 8006
-05 -04 304
CODE IN HEX
304
CODE IN HEX
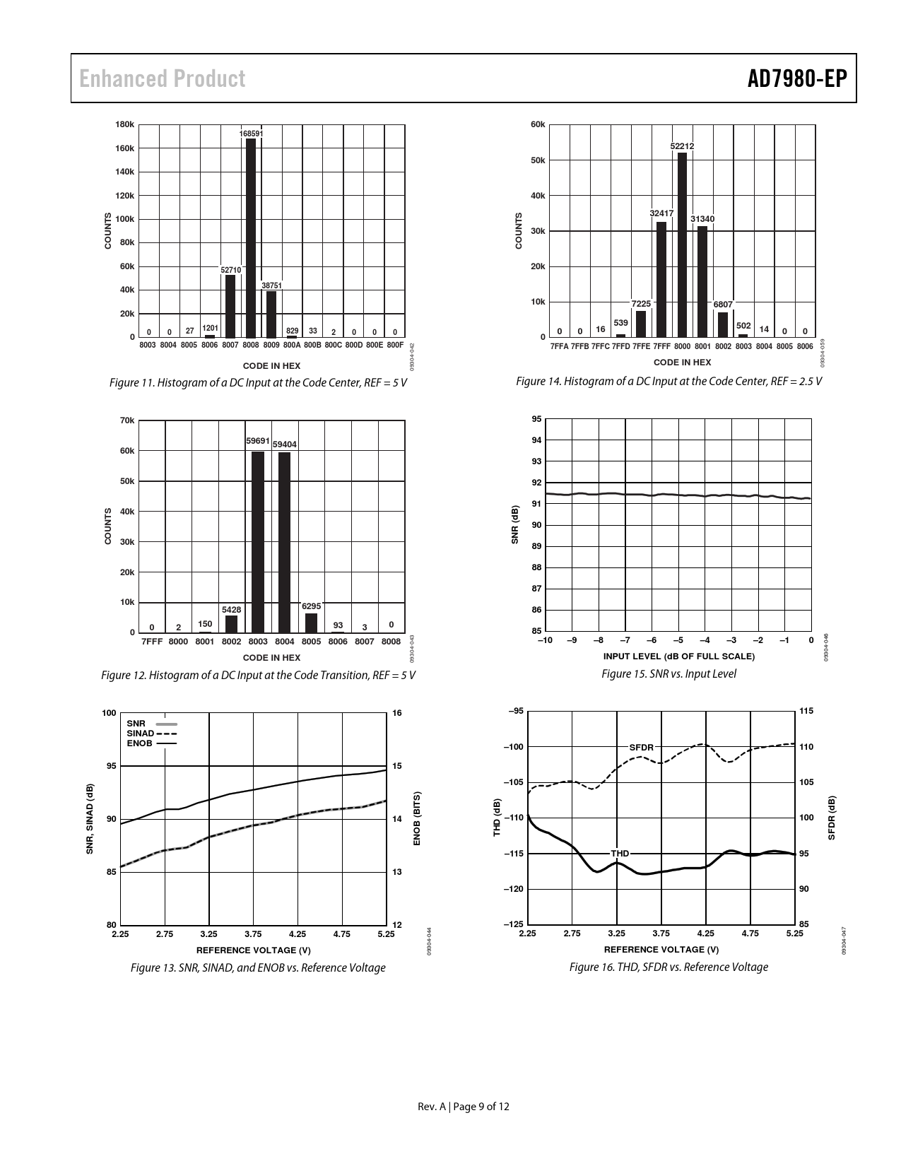
09 09 Figure 11. Histogram of a DC Input at the Code Center, REF = 5 V Figure 14. Histogram of a DC Input at the Code Center, REF = 2.5 V
70k 95 59691 94 59404 60k 93 50k 92 91 S 40k B) d UNT 90 NR ( CO 30k S 89 88 20k 87 10k 5428 6295 86 0 150 93 0 2 3 0 85
3 6
7FFF 8000 8001 8002 8003 8004 8005 8006 8007 8008 –10 –9 –8 –7 –6 –5 –4 –3 –2 –1 0
-04 -04 304
CODE IN HEX
304
INPUT LEVEL (dB OF FULL SCALE)
09 09 Figure 12. Histogram of a DC Input at the Code Transition, REF = 5 V Figure 15. SNR vs. Input Level
100 16 –95 115 SNR SINAD ENOB –100 SFDR 110 95 15 –105 105 B) (d S) ) IT B) B dB (d 90 ( ( –110 100 INAD 14 B D DR S O TH F S NR, EN S –115 THD 95 85 13 –120 90 80 12 –125 85
4
2.25 2.75 3.25 3.75 4.25 4.75 5.25 2.25 2.75 3.25 3.75 4.25 4.75 5.25
-04 047 4-
REFERENCE VOLTAGE (V)
304
REFERENCE VOLTAGE (V)
09 0930 Figure 13. SNR, SINAD, and ENOB vs. Reference Voltage Figure 16. THD, SFDR vs. Reference Voltage Rev. A | Page 9 of 12 Document Outline FEATURES APPLICATIONS APPLICATION DIAGRAM EXAMPLE GENERAL DESCRIPTION TABLE OF CONTENTS REVISION HISTORY SPECIFICATIONS TIMING SPECIFICATIONS ABSOLUTE MAXIMUM RATINGS ESD CAUTION PIN CONFIGURATIONS AND FUNCTION DESCRIPTIONS TYPICAL PERFORMANCE CHARACTERISTICS OUTLINE DIMENSIONS ORDERING GUIDE