Datasheet ADR441-EP (Analog Devices) - 7

ManufacturerAnalog Devices
DescriptionUltralow Noise, LDO XFET® 2.5V Voltage Reference w/Current Sink and Source
Pages / Page8 / 7 — Enhanced Product. ADR441-EP. 0.7. 0.5. NO LOAD. 0.6. M (V). 0.4. O O. R …
File Format / SizePDF / 160 Kb
Document LanguageEnglish

Enhanced Product. ADR441-EP. 0.7. 0.5. NO LOAD. 0.6. M (V). 0.4. O O. R D. +125°C. 0.3. +25°C. E H G. –55°C. A T. M H. 0.2. IMU. Y VO. N MI. PPL. 0.1. –10. –55. –35. –15

Enhanced Product ADR441-EP 0.7 0.5 NO LOAD 0.6 M (V) 0.4 O O R D +125°C 0.3 +25°C E H G –55°C A T M H 0.2 IMU Y VO N MI PPL 0.1 –10 –55 –35 –15

Model Line for this Datasheet

Text Version of Document

Enhanced Product ADR441-EP 0.7 0.5 NO LOAD 0.6 M (V) 0.4 O O 0.5 R D M (V) R +125°C O O 0.3 EA 0.4 +25°C R D E H G –55°C EA A T 0.3 M H L 0.2 IMU Y VO 0.2 N MI PPL 0.1 SU 0.1 0 0
014
–10 –5 0 5 10
015
–55 –35 –15 5 25 45 65 85 105 125 LOAD CURRENT (mA)
17030-
TEMPERATURE (°C)
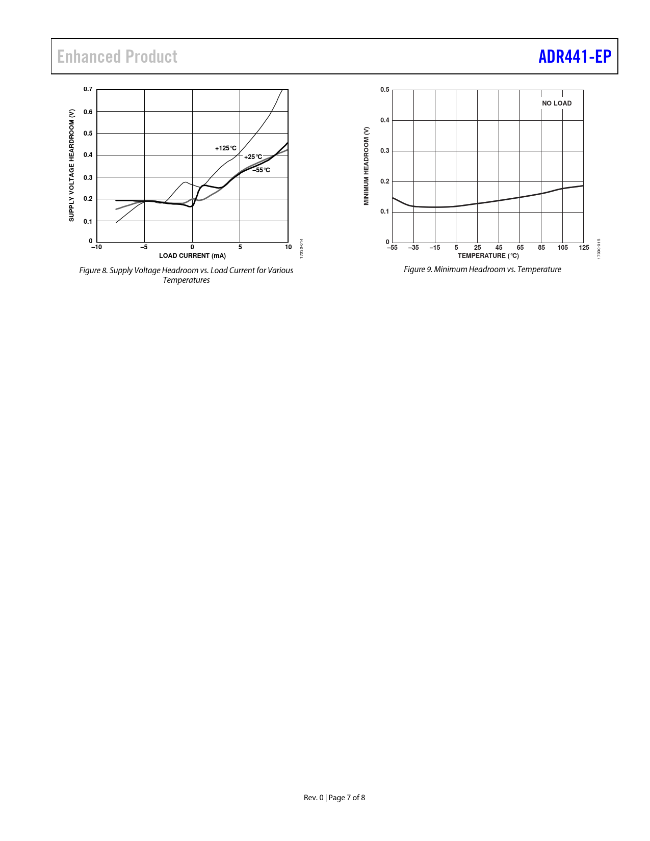
17030- Figure 8. Supply Voltage Headroom vs. Load Current for Various Figure 9. Minimum Headroom vs. Temperature Temperatures Rev. 0 | Page 7 of 8 Document Outline FEATURES ENHANCED PRODUCT FEATURES APPLICATIONS TYPICAL APPLICATION CIRCUIT GENERAL DESCRIPTION TABLE OF CONTENTS REVISION HISTORY SPECIFICATIONS ELECTRICAL CHARACTERISTICS ABSOLUTE MAXIMUM RATINGS THERMAL RESISTANCE ESD CAUTION PIN CONFIGURATION AND FUNCTION DESCRIPTIONS TYPICAL PERFORMANCE CHARACTERISTICS OUTLINE DIMENSIONS ORDERING GUIDE