Datasheet ADL5330 (Analog Devices) - 10

ManufacturerAnalog Devices
Description10 MHz to 3 GHz VGA with 60 dB Gain Control Range
Pages / Page24 / 10 — ADL5330. Data Sheet. PERCENTAGE (%). 18.5 19 19.5 20 20.5 21 21.5 22 22.5 …
RevisionB
File Format / SizePDF / 695 Kb
Document LanguageEnglish

ADL5330. Data Sheet. PERCENTAGE (%). 18.5 19 19.5 20 20.5 21 21.5 22 22.5 23 23.5 24 24.5

ADL5330 Data Sheet PERCENTAGE (%) 18.5 19 19.5 20 20.5 21 21.5 22 22.5 23 23.5 24 24.5

Model Line for this Datasheet

Text Version of Document

ADL5330 Data Sheet 70 30 60 25 50 20 40 15 30 PERCENTAGE (%) 10 20 PERCENTAGE (%) 10 5 0 0 18.5 19 19.5 20 20.5 21 21.5 22 22.5 23 23.5 24 24.5 18 18.5 19 19.5 20 20.5 21 21.5 22 22.5 23 23.5 24 OP1dB (dBm)
05134-021
OIP3 (dBm)
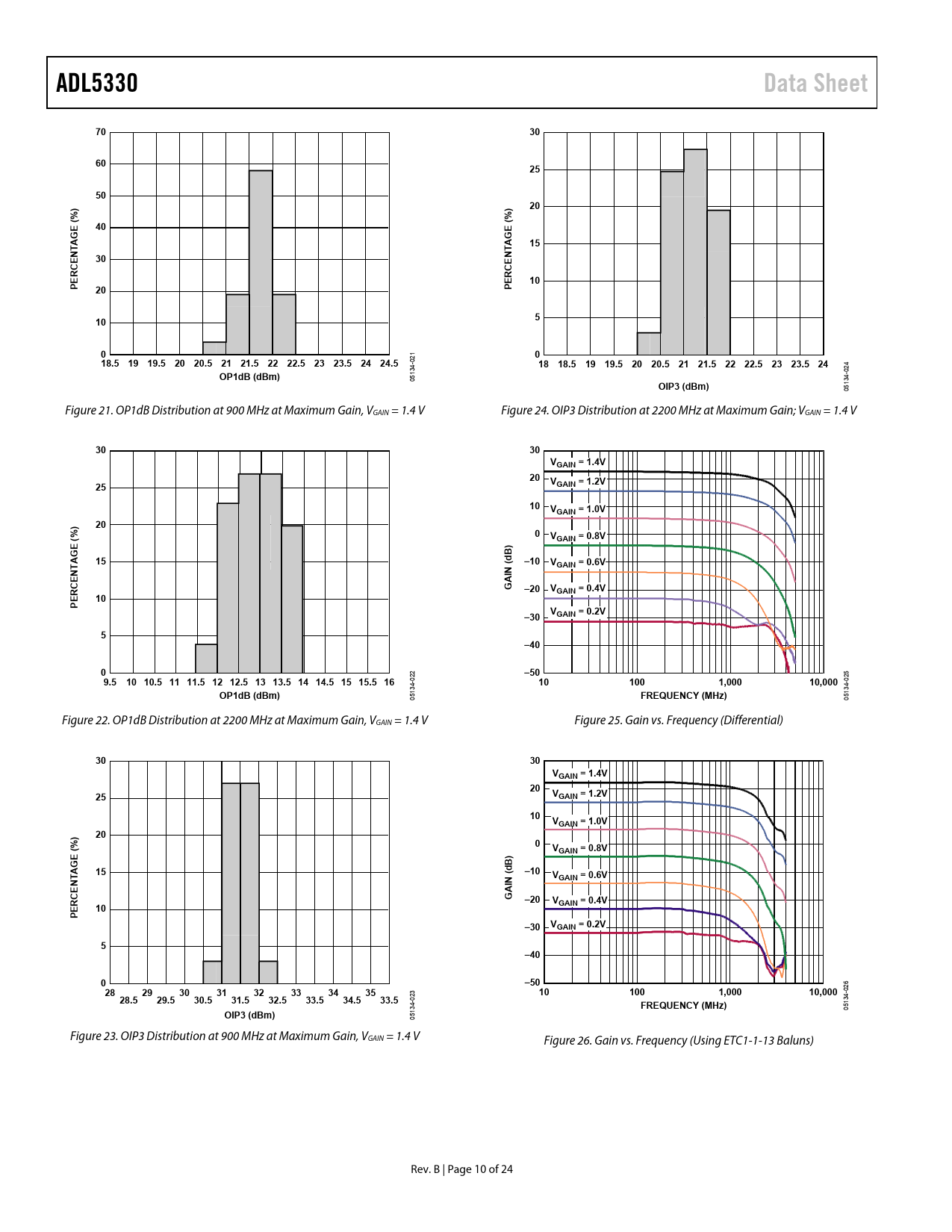
05134-024 Figure 21. OP1dB Distribution at 900 MHz at Maximum Gain, VGAIN = 1.4 V Figure 24. OIP3 Distribution at 2200 MHz at Maximum Gain; VGAIN = 1.4 V
30 30 VGAIN = 1.4V 20 25 VGAIN = 1.2V 10 VGAIN = 1.0V 20 0 VGAIN = 0.8V 15 –10 VGAIN = 0.6V GAIN (dB) –20 VGAIN = 0.4V 10 PERCENTAGE (%) –30 VGAIN = 0.2V 5 –40 0 –50 9.5 10 10.5 11 11.5 12 12.5 13 13.5 14 14.5 15 15.5 16 10 100 1,000 10,000 OP1dB (dBm)
05134-022
FREQUENCY (MHz)
05134-025 Figure 22. OP1dB Distribution at 2200 MHz at Maximum Gain, VGAIN = 1.4 V Figure 25. Gain vs. Frequency (Differential)
30 30 VGAIN = 1.4V 20 25 VGAIN = 1.2V 10 VGAIN = 1.0V 20 0 VGAIN = 0.8V 15 –10 VGAIN = 0.6V GAIN (dB) –20 V 10 GAIN = 0.4V PERCENTAGE (%) –30 VGAIN = 0.2V 5 –40 0 –50 28 29 30 31 32 33 34 35 10 100 1,000 10,000 28.5 29.5 30.5 31.5 32.5 33.5 34.5 33.5 FREQUENCY (MHz)
05134-026
OIP3 (dBm)
05134-023 Figure 23. OIP3 Distribution at 900 MHz at Maximum Gain, VGAIN = 1.4 V Figure 26. Gain vs. Frequency (Using ETC1-1-13 Baluns) Rev. B | Page 10 of 24 Document Outline FEATURES APPLICATIONS FUNCTIONAL BLOCK DIAGRAM GENERAL DESCRIPTION TABLE OF CONTENTS REVISION HISTORY SPECIFICATIONS ABSOLUTE MAXIMUM RATINGS ESD CAUTION PIN CONFIGURATION AND FUNCTION DESCRIPTIONS TYPICAL PERFORMANCE CHARACTERISTICS THEORY OF OPERATION APPLICATIONS INFORMATION BASIC CONNECTIONS RF INPUT/OUTPUT INTERFACE GAIN CONTROL INPUT AUTOMATIC GAIN CONTROL INTERFACING TO AN IQ MODULATOR WCDMA TRANSMIT APPLICATION CDMA2000 TRANSMIT APPLICATION SOLDERING INFORMATION EVALUATION BOARD OUTLINE DIMENSIONS ORDERING GUIDE