Datasheet AD8305 (Analog Devices) - 8

ManufacturerAnalog Devices
Description100 dB-range (10nA-1mA) Logarithmic Converter
Pages / Page24 / 8 — AD8305. Data Sheet. 10nA 100nA. 10µA. 100µA. AV = 1. –10. SE (d N. (V). …
RevisionC
File Format / SizePDF / 567 Kb
Document LanguageEnglish

AD8305. Data Sheet. 10nA 100nA. 10µA. 100µA. AV = 1. –10. SE (d N. (V). AV = 2. ESPO. O –20. AV = 5. 1mA. ED IZ –6. –30. 1µA. AV = 2.5. O N –9. –40. –50. –12. 100

AD8305 Data Sheet 10nA 100nA 10µA 100µA AV = 1 –10 SE (d N (V) AV = 2 ESPO O –20 AV = 5 1mA ED IZ –6 –30 1µA AV = 2.5 O N –9 –40 –50 –12 100

Model Line for this Datasheet

Text Version of Document

AD8305 Data Sheet 10 3 10nA 100nA 10µA 0 ) 0 100µA B AV = 1 –10 SE (d N –3 (V) AV = 2 UT ESPO O –20 R V AV = 5 1mA ED IZ –6 L –30 MA 1µA R AV = 2.5 O N –9 –40 –50 –12 100 1k 10k 100k 1M 10M 100M
015
10k 100k 1M 10M 100M
018
FREQUENCY (Hz) FREQUENCY (Hz)
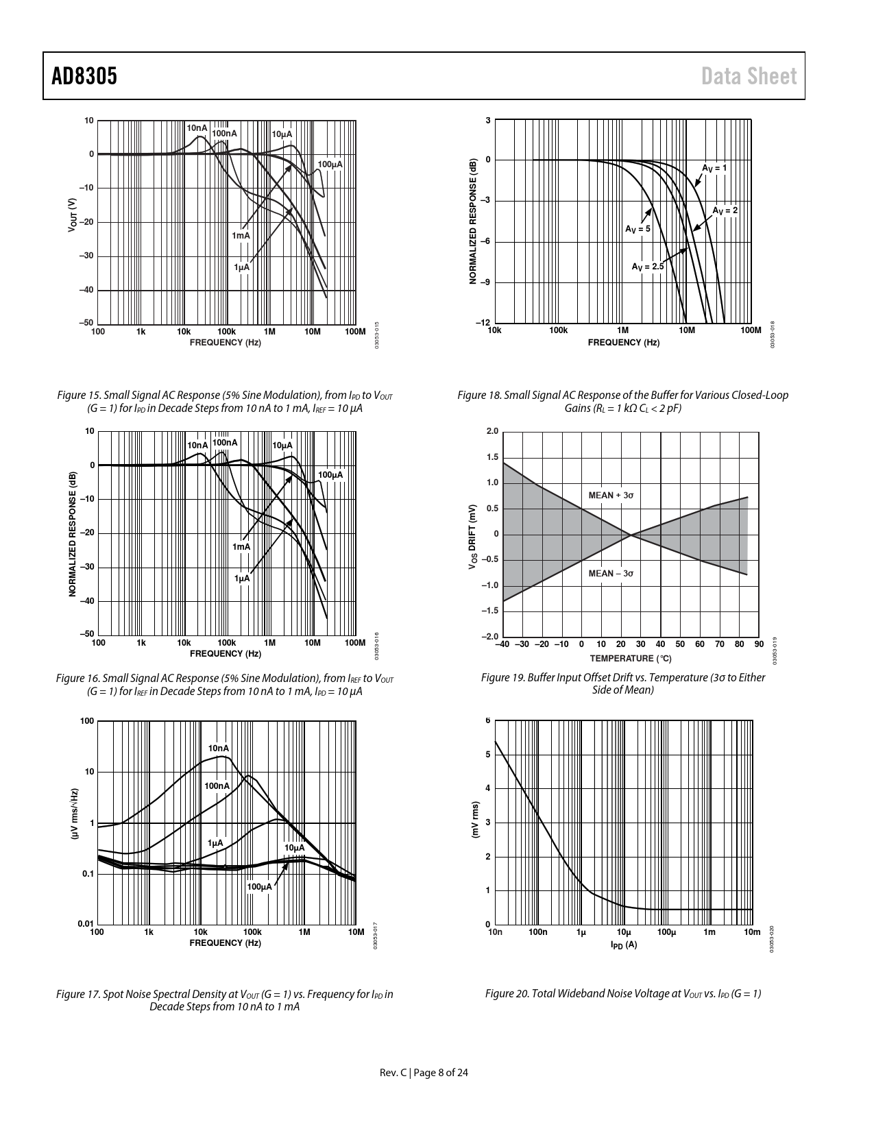
03053- 03053- Figure 15. Small Signal AC Response (5% Sine Modulation), from IPD to VOUT Figure 18. Small Signal AC Response of the Buffer for Various Closed-Loop (G = 1) for IPD in Decade Steps from 10 nA to 1 mA, IREF = 10 µA Gains (RL = 1 kΩ CL < 2 pF)
10 2.0 10nA 100nA 10µA 1.5 0 ) B 100µA 1.0 MEAN + 3σ SE (d –10 N ) 0.5 mV ( ESPO T –20 F R 0 ED 1mA DRI IZ L OS –0.5 –30 V MA MEAN – 3σ R 1µA O –1.0 N –40 –1.5 –50 –2.0 100 1k 10k 100k 1M 10M 100M
016
–40 –30 –20 –10 0 10 20 30 40 50 60 70 80 90
019
FREQUENCY (Hz)
03053-
TEMPERATURE (°C)
03053- Figure 16. Small Signal AC Response (5% Sine Modulation), from IREF to VOUT Figure 19. Buffer Input Offset Drift vs. Temperature (3σ to Either (G = 1) for IREF in Decade Steps from 10 nA to 1 mA, IPD = 10 µA Side of Mean)
100 6 10nA 5 10 ) 100nA 4 √Hz 1 rms) 3 (µV rms/ (mV 1µA 10µA 2 0.1 100µA 1 0.01 0 100 1k 10k 100k 1M 10M
017
10n 100n 10µ 100µ 1m 10m
020
FREQUENCY (Hz) I
03053-
PD (A)
03053- Figure 17. Spot Noise Spectral Density at VOUT (G = 1) vs. Frequency for IPD in Figure 20. Total Wideband Noise Voltage at VOUT vs. IPD (G = 1) Decade Steps from 10 nA to 1 mA Rev. C | Page 8 of 24 Document Outline Features Applications Functional Block Diagram General Description Table of Contents Revision History Specifications Absolute Maximum Ratings ESD Caution Pin Configuration and Function Descriptions Typical Performance Characteristics General Structure Theory Managing Intercept and Slope Response Time and Noise Considerations Power Supply Sequencing Applications Information Calibration Using a Negative Supply Log-Ratio Applications Reversing The Input Polarity Characterization Methods Evaluation Board Outline Dimensions Ordering Guide