Datasheet SFH6700, SFH6701, SFH6702, SFH6705, SFH6711, SFH6712, SFH6719 (Vishay) - 9

ManufacturerVishay
DescriptionHigh Speed Optocoupler, 5 MBd, 1 kV/µs dV/dt
Pages / Page16 / 9 — End of Life July-2017. SFH6700, SFH6701, SFH6702, SFH6705, SFH6711, …
File Format / SizePDF / 307 Kb
Document LanguageEnglish

End of Life July-2017. SFH6700, SFH6701, SFH6702, SFH6705, SFH6711, SFH6712, SFH6719

End of Life July-2017 SFH6700, SFH6701, SFH6702, SFH6705, SFH6711, SFH6712, SFH6719

Model Line for this Datasheet

Text Version of Document

End of Life July-2017 SFH6700, SFH6701, SFH6702, SFH6705, SFH6711, SFH6712, SFH6719
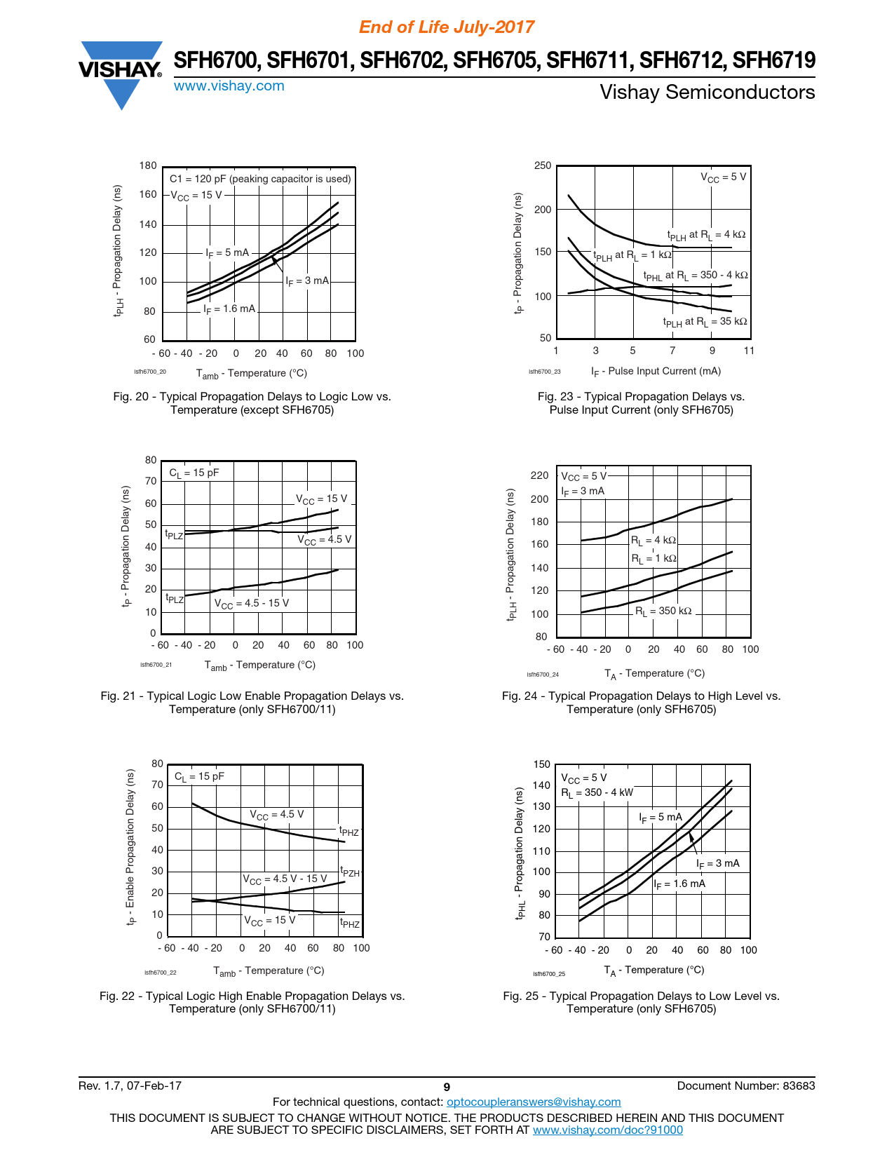
www.vishay.com Vishay Semiconductors 180 250 C1 = 120 pF (peaking capacitor is used) VCC = 5 V 160 VCC = 15 V 200 140 tPLH at RL = 4 kΩ 120 IF = 5 mA 150 tPLH at RL = 1 kΩ t 100 I PHL at RL = 350 - 4 kΩ F = 3 mA - Propagation Delay (ns) 100 - Propagation Delay (ns) 80 I t PLH F = 1.6 mA t P tPLH at RL = 35 kΩ 60 50 - 60 - 40 - 20 0 20 40 60 80 100 1 3 5 7 9 11 isfh6700_20 T isfh6700_23 I amb - Temperature (°C) F - Pulse Input Current (mA) Fig. 20 - Typical Propagation Delays to Logic Low vs. Fig. 23 - Typical Propagation Delays vs. Temperature (except SFH6705) Pulse Input Current (only SFH6705) 80 CL = 15 pF 220 V 70 CC = 5 V I V F = 3 mA 60 CC = 15 V 200 50 180 tPLZ V R 40 CC = 4.5 V 160 L = 4 kΩ RL = 1 kΩ 30 140 20 120 - Propagation Delay (ns) t - Propagation Delay (ns) t P PLZ VCC = 4.5 - 15 V 10 100 R t PLH L = 350 kΩ 0 80 - 60 - 40 - 20 0 20 40 60 80 100 - 60 - 40 - 20 0 20 40 60 80 100 isfh6700_21 Tamb - Temperature (°C) isfh6700_24 TA - Temperature (°C) Fig. 21 - Typical Logic Low Enable Propagation Delays vs. Fig. 24 - Typical Propagation Delays to High Level vs. Temperature (only SFH6700/11) Temperature (only SFH6705) 80 150 CL = 15 pF V 70 140 CC = 5 V RL = 350 - 4 kW 60 130 VCC = 4.5 V IF = 5 mA 50 t 120 PHZ 40 110 I 30 t F = 3 mA PZH 100 VCC = 4.5 V - 15 V IF = 1.6 mA 20 - Propagation Delay (ns) 90 - Enable Propagation Delay (ns) 10 t PHL 80 t P VCC = 15 V tPHZ 0 70 - 60 - 40 - 20 0 20 40 60 80 100 - 60 - 40 - 20 0 20 40 60 80 100 isfh6700_22 Tamb - Temperature (°C) T isfh6700_25 A - Temperature (°C) Fig. 22 - Typical Logic High Enable Propagation Delays vs. Fig. 25 - Typical Propagation Delays to Low Level vs. Temperature (only SFH6700/11) Temperature (only SFH6705) Rev. 1.7, 07-Feb-17
9
Document Number: 83683 For technical questions, contact: optocoupleranswers@vishay.com THIS DOCUMENT IS SUBJECT TO CHANGE WITHOUT NOTICE. THE PRODUCTS DESCRIBED HEREIN AND THIS DOCUMENT ARE SUBJECT TO SPECIFIC DISCLAIMERS, SET FORTH AT www.vishay.com/doc?91000