Datasheet ADT7320 (Analog Devices) - 8

ManufacturerAnalog Devices
Description±0.25°C Accurate, 16-Bit Digital SPI Temperature Sensor
Pages / Page24 / 8 — ADT7320. Data Sheet. 140. 125°C. 120. 105°C. ) 100. °C ( E R. 85°C. A R …
File Format / SizePDF / 427 Kb
Document LanguageEnglish

ADT7320. Data Sheet. 140. 125°C. 120. 105°C. ) 100. °C ( E R. 85°C. A R E. IT TAKES LESS THAN 2 SECONDS. FOR THE DUT TO REACH 63.2%

ADT7320 Data Sheet 140 125°C 120 105°C ) 100 °C ( E R 85°C A R E IT TAKES LESS THAN 2 SECONDS FOR THE DUT TO REACH 63.2%

Model Line for this Datasheet

Text Version of Document

ADT7320 Data Sheet 140 125°C 120 105°C ) 100 °C ( E R 85°C TU 80 A R E IT TAKES LESS THAN 2 SECONDS P FOR THE DUT TO REACH 63.2% 60 M OF ITS FINAL TEMPERATURE SPAN E T 40 DUT 20 0
0
0 5 10 15 20 25
1 -1 12
TIME (s)
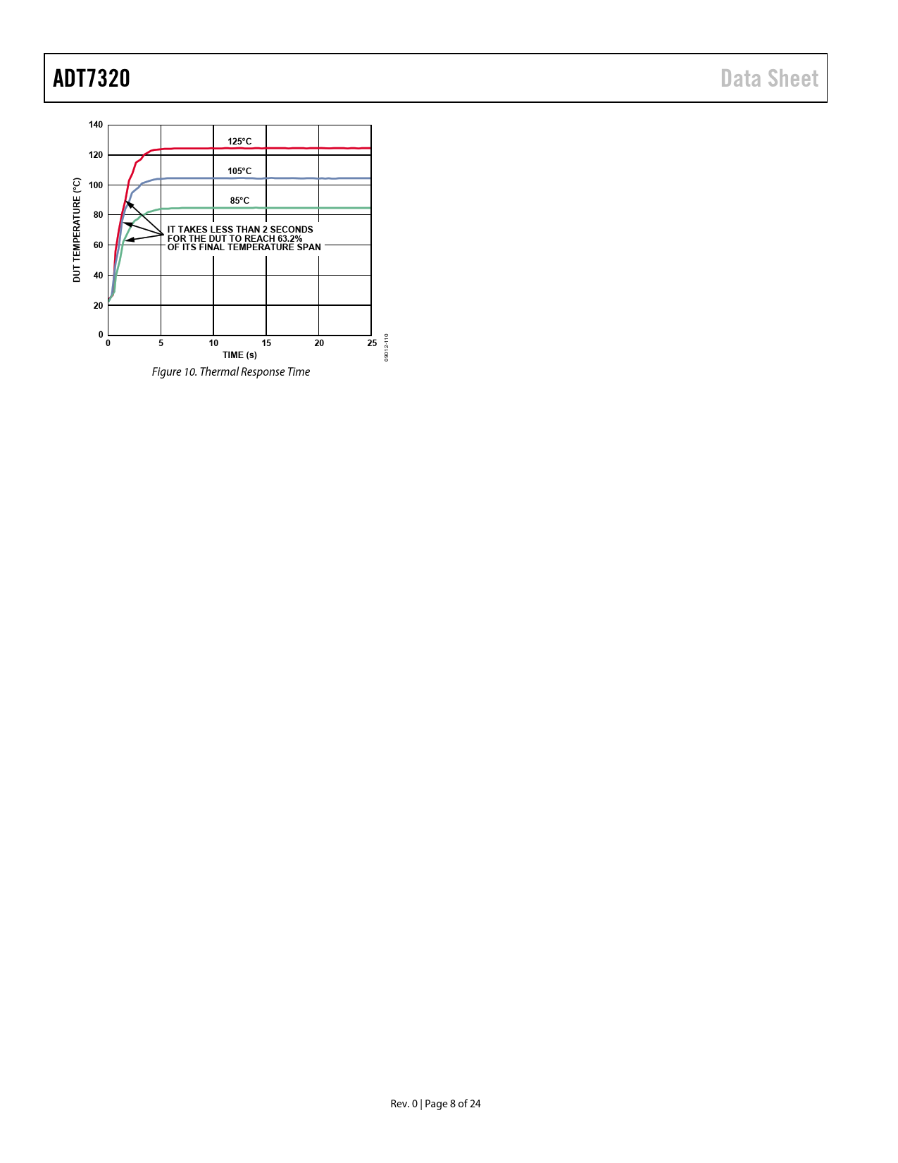
90 0 Figure 10. Thermal Response Time Rev. 0 | Page 8 of 24 Document Outline FEATURES APPLICATIONS GENERAL DESCRIPTION PRODUCT HIGHLIGHTS FUNCTIONAL BLOCK DIAGRAM TABLE OF CONTENTS REVISION HISTORY SPECIFICATIONS SPI TIMING SPECIFICATIONS ABSOLUTE MAXIMUM RATINGS ESD CAUTION PIN CONFIGURATION AND FUNCTION DESCRIPTIONS TYPICAL PERFORMANCE CHARACTERISTICS THEORY OF OPERATION CIRCUIT INFORMATION CONVERTER DETAILS CONTINUOUS CONVERSION MODE ONE-SHOT MODE CT and INT Operation in One-Shot Mode 1 SPS MODE SHUTDOWN MODE FAULT QUEUE TEMPERATURE DATA FORMAT TEMPERATURE CONVERSION FORMULAS 16-Bit Temperature Data Format 13-Bit Temperature Data Format 10-Bit Temperature Data Format 9-Bit Temperature Data Format REGISTERS STATUS REGISTER CONFIGURATION REGISTER TEMPERATURE VALUE REGISTER ID REGISTER TCRIT SETPOINT REGISTER THYST SETPOINT REGISTER THIGH SETPOINT REGISTER TLOW SETPOINT REGISTER SERIAL INTERFACE SPI COMMAND BYTE WRITING DATA READING DATA INTERFACING TO DSPs OR MICROCONTROLLERS SERIAL INTERFACE RESET INT AND CT OUTPUTS UNDERTEMPERATURE AND OVERTEMPERATURE DETECTION Comparator Mode Interrupt Mode APPLICATIONS INFORMATION THERMAL RESPONSE TIME SUPPLY DECOUPLING POWERING FROM A SWITCHING REGULATOR TEMPERATURE MEASUREMENT QUICK GUIDE TO MEASURING TEMPERATURE OUTLINE DIMENSIONS ORDERING GUIDE