Datasheet OP290 (Analog Devices) - 7

ManufacturerAnalog Devices
DescriptionPrecision, Low Power, Micropower Dual Operational Amplifier
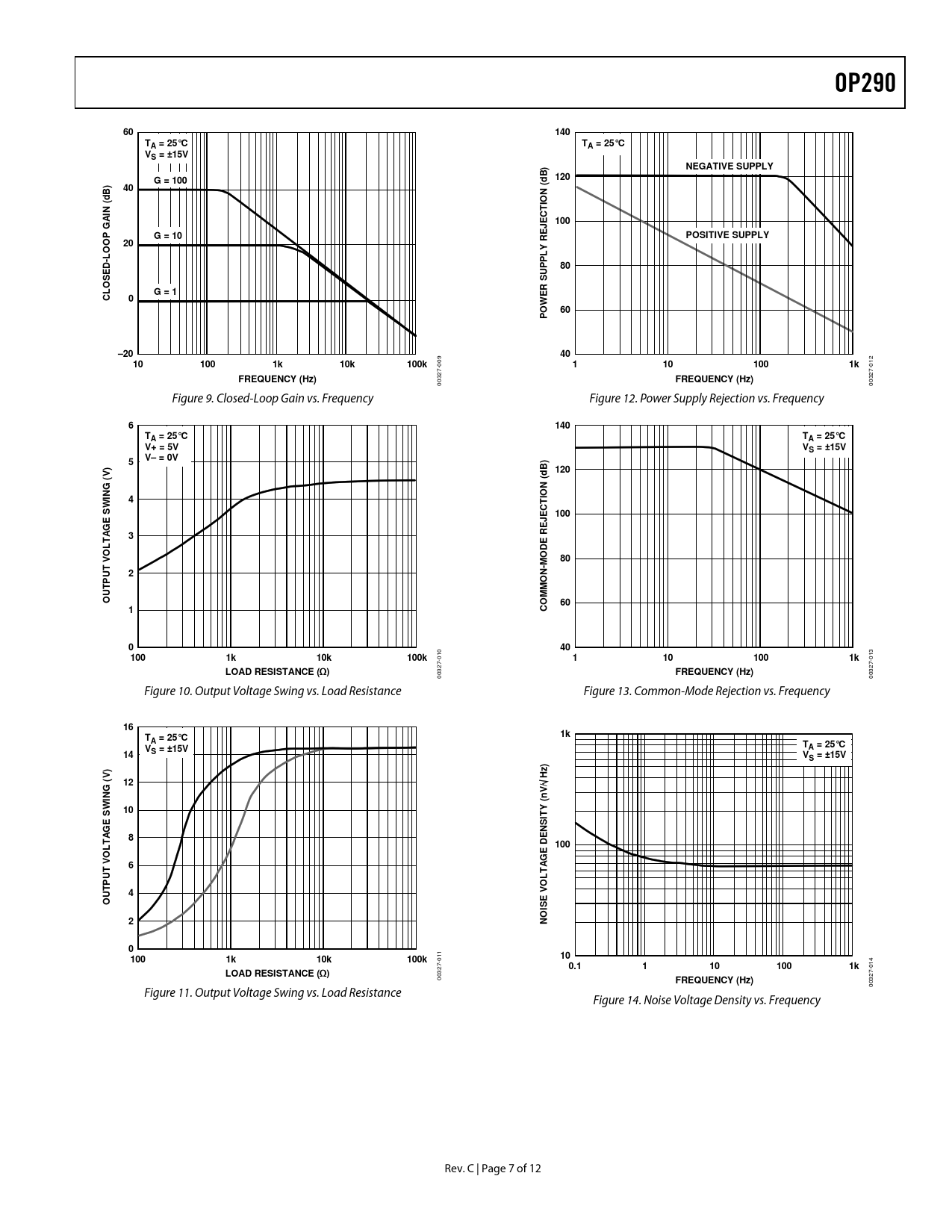
Pages / Page12 / 7 — OP290. 140. TA = 25°C. VS = ±15V. NEGATIVE SUPPLY. G = 100. 120. (d N. dB …
RevisionC
File Format / SizePDF / 284 Kb
Document LanguageEnglish

OP290. 140. TA = 25°C. VS = ±15V. NEGATIVE SUPPLY. G = 100. 120. (d N. dB (. IO T. EC 100. G = 10. POSITIVE SUPPLY. Y R. -LOOP D. PPL. LOS. G = 1. –20. 100

OP290 140 TA = 25°C VS = ±15V NEGATIVE SUPPLY G = 100 120 (d N dB ( IO T EC 100 G = 10 POSITIVE SUPPLY Y R -LOOP D PPL LOS G = 1 –20 100

Model Line for this Datasheet

Text Version of Document

OP290 60 140 TA = 25°C TA = 25°C VS = ±15V ) NEGATIVE SUPPLY B G = 100 120 ) 40 (d N dB ( IO T IN EC 100 GA G = 10 EJ POSITIVE SUPPLY 20 Y R -LOOP D PPL 80 E SU LOS G = 1 C ER 0 W 60 PO –20 40 10 100 1k 10k 100k
009
1 10 100 1k
012
FREQUENCY (Hz) FREQUENCY (Hz)
00327- 00327- Figure 9. Closed-Loop Gain vs. Frequency Figure 12. Power Supply Rejection vs. Frequency
6 140 TA = 25°C TA = 25°C V+ = 5V VS = ±15V 5 V– = 0V ) B) V 120 d G ( N ( 4 IO WIN CT S 100 JE GE 3 RE DE OLTA O 80 M T V U 2 N- O TP M M OU 60 1 CO 0 40 100 1k 10k 100k
010
1 10 100 1k
013
LOAD RESISTANCE (Ω) FREQUENCY (Hz)
00327- 00327- Figure 10. Output Voltage Swing vs. Load Resistance Figure 13. Common-Mode Rejection vs. Frequency
16 T 1k A = 25°C T V A = 25°C 14 S = ±15V VS = ±15V ) z) V 12 H G ( V/ WIN 10 Y (n S T SI GE 8 EN 100 E D OLTA G 6 A T V T U L TP 4 OU ISE VO O 2 N 0 100 1k 10k 100k 10
011
0.1 1 10 100 1k
014
LOAD RESISTANCE (Ω)
00327-
FREQUENCY (Hz)
00327- Figure 11. Output Voltage Swing vs. Load Resistance Figure 14. Noise Voltage Density vs. Frequency Rev. C | Page 7 of 12 Document Outline Features Pin Connections General Description Revision History Specifications Electrical Characteristics Absolute Maximum Ratings ESD Caution Typical Performance Characteristics Theory of Operation Battery-Powered Applications Input Voltage Protection Single-Supply Output Voltage Range Applications Information Temperature to 4 mA to 20 mA Transmitter Variable Slew Rate Filter Low Overhead Voltage Reference Outline Dimensions Ordering Guide