Datasheet ADL5511 (Analog Devices) - 8

ManufacturerAnalog Devices
DescriptionDC to 6 GHz ENVELOPE AND TruPwr RMS Detector
Pages / Page27 / 8 — ADL5511. Data Sheet. PIN CONFIGURATION AND FUNCTION DESCRIPTIONS. LT2. …
RevisionD
File Format / SizePDF / 2.3 Mb
Document LanguageEnglish

ADL5511. Data Sheet. PIN CONFIGURATION AND FUNCTION DESCRIPTIONS. LT2. LT4. PIN 1. VPO. INDICATOR. FLT3 1. 12 NC. RFIN 2. 11 VRMS. FLT1 3

ADL5511 Data Sheet PIN CONFIGURATION AND FUNCTION DESCRIPTIONS LT2 LT4 PIN 1 VPO INDICATOR FLT3 1 12 NC RFIN 2 11 VRMS FLT1 3

Model Line for this Datasheet

Text Version of Document

link to page 19 link to page 19 link to page 18
ADL5511 Data Sheet PIN CONFIGURATION AND FUNCTION DESCRIPTIONS S LT2 LT4 PIN 1 F VPO F NC INDICATOR 16 15 14 13 FLT3 1 12 NC RFIN 2 ADL5511 11 VRMS FLT1 3 TOP VIEW 10 VENV (Not to Scale) ENBL 4 9 EREF 5 6 7 8 M M NC NC NC O C NOTES 1. NC = NO CONNECT. DO NOT CONNECT TO THIS PIN.
3 10
2. THE EXPOSED PAD SHOULD BE CONNECTED
2-
TO BOTH THERMAL AND ELECTRICAL GROUNDS.
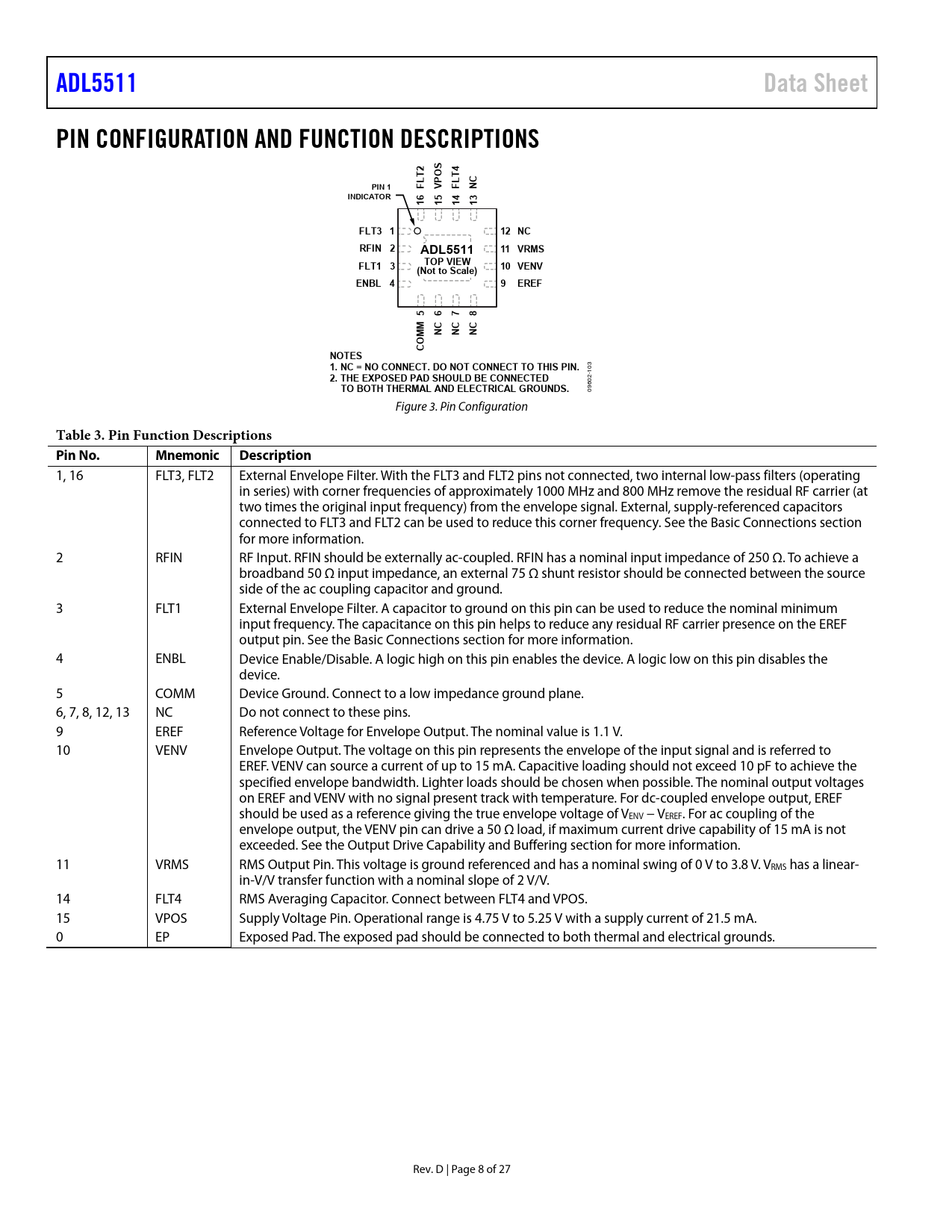
0960 Figure 3. Pin Configuration
Table 3. Pin Function Descriptions Pin No. Mnemonic Description
1, 16 FLT3, FLT2 External Envelope Filter. With the FLT3 and FLT2 pins not connected, two internal low-pass filters (operating in series) with corner frequencies of approximately 1000 MHz and 800 MHz remove the residual RF carrier (at two times the original input frequency) from the envelope signal. External, supply-referenced capacitors connected to FLT3 and FLT2 can be used to reduce this corner frequency. See the Basic Connections section for more information. 2 RFIN RF Input. RFIN should be externally ac-coupled. RFIN has a nominal input impedance of 250 Ω. To achieve a broadband 50 Ω input impedance, an external 75 Ω shunt resistor should be connected between the source side of the ac coupling capacitor and ground. 3 FLT1 External Envelope Filter. A capacitor to ground on this pin can be used to reduce the nominal minimum input frequency. The capacitance on this pin helps to reduce any residual RF carrier presence on the EREF output pin. See the Basic Connections section for more information. 4 ENBL Device Enable/Disable. A logic high on this pin enables the device. A logic low on this pin disables the device. 5 COMM Device Ground. Connect to a low impedance ground plane. 6, 7, 8, 12, 13 NC Do not connect to these pins. 9 EREF Reference Voltage for Envelope Output. The nominal value is 1.1 V. 10 VENV Envelope Output. The voltage on this pin represents the envelope of the input signal and is referred to EREF. VENV can source a current of up to 15 mA. Capacitive loading should not exceed 10 pF to achieve the specified envelope bandwidth. Lighter loads should be chosen when possible. The nominal output voltages on EREF and VENV with no signal present track with temperature. For dc-coupled envelope output, EREF should be used as a reference giving the true envelope voltage of VENV − VEREF. For ac coupling of the envelope output, the VENV pin can drive a 50 Ω load, if maximum current drive capability of 15 mA is not exceeded. See the Output Drive Capability and Buffering section for more information. 11 VRMS RMS Output Pin. This voltage is ground referenced and has a nominal swing of 0 V to 3.8 V. VRMS has a linear- in-V/V transfer function with a nominal slope of 2 V/V. 14 FLT4 RMS Averaging Capacitor. Connect between FLT4 and VPOS. 15 VPOS Supply Voltage Pin. Operational range is 4.75 V to 5.25 V with a supply current of 21.5 mA. 0 EP Exposed Pad. The exposed pad should be connected to both thermal and electrical grounds. Rev. D | Page 8 of 27 Document Outline Features Applications Functional Block Diagram General Description Revision History Specifications Absolute Maximum Ratings ESD Caution Pin Configuration and Function Descriptions Typical Performance Characteristics Circuit Description Envelope Propagation Delay RMS Circuit Description RMS Filtering Output Drive Capability and Buffering Viewing the Envelope on an Oscilloscope Applications Information Basic Connections Operation Below 1 GHz/Envelope Filtering Choosing a Value for the RMS Averaging Capacitor (CFLT4) Envelope Tracking Accuracy Time Domain Envelope Tracking Accuracy VRMS and VENV Output Offset Device Calibration and Error Calculation Error vs. Frequency Evaluation Board Outline Dimensions Ordering Guide