Datasheet SSM2135 (Analog Devices) - 9

ManufacturerAnalog Devices
DescriptionDual Single-Supply Audio Operational Amplifier
Pages / Page16 / 9 — SSM2135. VS = 5V. VOUT = 3.9V. /µV. L = 2kΩ. VS = ±18V. VS = ±15V. IN 12. …
RevisionG
File Format / SizePDF / 305 Kb
Document LanguageEnglish

SSM2135. VS = 5V. VOUT = 3.9V. /µV. L = 2kΩ. VS = ±18V. VS = ±15V. IN 12. GA 10. RL = 600Ω. VS = +5V. OOP. CURR. –75. –50. –25. 100. 125. TEMPERATURE (°C)

SSM2135 VS = 5V VOUT = 3.9V /µV L = 2kΩ VS = ±18V VS = ±15V IN 12 GA 10 RL = 600Ω VS = +5V OOP CURR –75 –50 –25 100 125 TEMPERATURE (°C)

Model Line for this Datasheet

Text Version of Document

SSM2135 20 5 VS = 5V 18 VOUT = 3.9V 16 4 ) 14 A) /µV R V L = 2kΩ VS = ±18V ( (m VS = ±15V IN 12 NT 3 E GA 10 RL = 600Ω VS = +5V OOP CURR 8 Y -L 2 L N P E 6 UP OP S 4 1 2 0 0 –75 –50 –25 0 25 50 75 100 125
27 29 0
–75 –50 –25 0 25 50 75 100 125
0 9- 9-
TEMPERATURE (°C)
34
TEMPERATURE (°C)
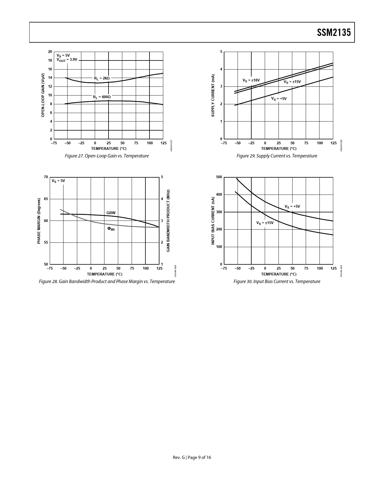
34 00 00 Figure 27. Open-Loop Gain vs. Temperature Figure 29. Supply Current vs. Temperature
70 5 500 VS = 5V ) Hz 400 ) 65 4 (M A) n rees ( VS = +5V eg DUCT NT 300 (D GBW RO IN 60 3 H P CURRE VS = ±15V ARG IDT AS M Φm W 200 E BI UT HAS P 55 2 N BAND INP AI 100 G 50 1 0 –75 –50 –25 0 25 50 75 100 125
28 30 0
–75 –50 –25 0 25 50 75 100 125
0 9- 9-
TEMPERATURE (°C)
34
TEMPERATURE (°C)
34 00 00 Figure 28. Gain Bandwidth Product and Phase Margin vs. Temperature Figure 30. Input Bias Current vs. Temperature Rev. G | Page 9 of 16 Document Outline FEATURES APPLICATIONS PIN CONNECTIONS GENERAL DESCRIPTION FUNCTIONAL BLOCK DIAGRAM TABLE OF CONTENTS REVISION HISTORY SPECIFICATIONS ABSOLUTE MAXIMUM RATINGS THERMAL RESISTANCE ESD CAUTION TYPICAL PERFORMANCE CHARACTERISTICS APPLICATIONS INFORMATION APPLICATION CIRCUITS Low Noise Stereo Headphone Driver Amplifier Low Noise Microphone Preamplifier Single Supply Differential Line Driver Single-Supply Differential Line Receiver Pseudoreference Voltage Generator Digital Volume Control Circuit Logarithmic Volume Control Circuit OUTLINE DIMENSIONS ORDERING GUIDE