Datasheet IRF6665PbF, IRF6665TRPbF (Infineon) - 3

ManufacturerInfineon
DescriptionDigital Audio MOSFET
Pages / Page10 / 3 — Fig 1. Fig 2. Fig 3. Fig 4. Fig 5. Fig 6
File Format / SizePDF / 239 Kb
Document LanguageEnglish

Fig 1. Fig 2. Fig 3. Fig 4. Fig 5. Fig 6

Fig 1 Fig 2 Fig 3 Fig 4 Fig 5 Fig 6

Model Line for this Datasheet

Text Version of Document

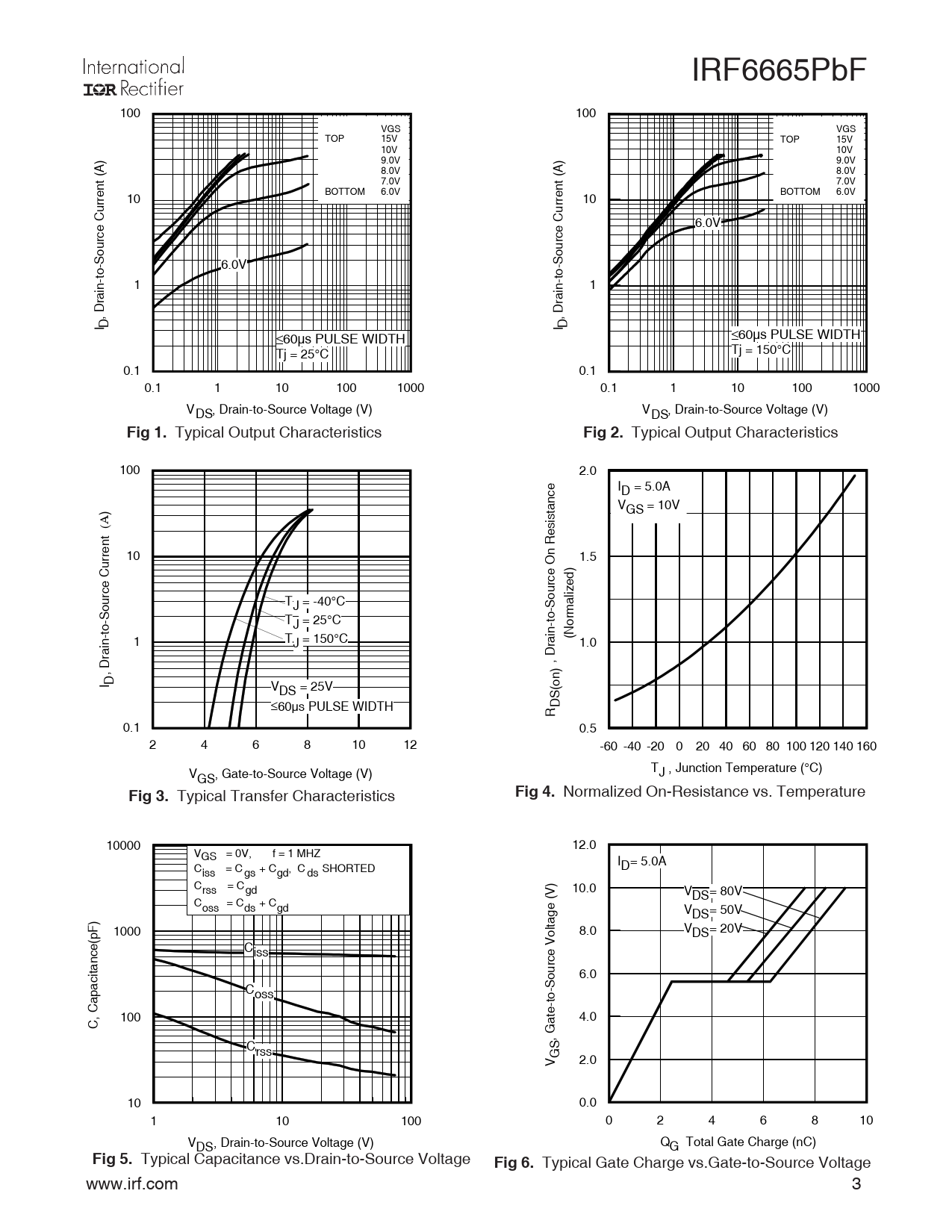
IRF6665PbF 100 100 VGS VGS TOP 15V TOP 15V 10V 10V ) 9.0V ) 9.0V A( A 8.0V 8.0V t ( n 7.0V t 7.0V e n r BOTTOM 6.0V e BOTTOM 6.0V r 10 rr 10 u u C C e 6.0V c e r c u r o uo S- S o 6.0V - t o - t n 1 - i n 1 a i r ar D , D , I D I D ≤60µs PULSE WIDTH ≤60µs PULSE WIDTH Tj = 25°C Tj = 150°C 0.1 0.1 0.1 1 10 100 1000 0.1 1 10 100 1000 VDS, Drain-to-Source Voltage (V) VDS, Drain-to-Source Voltage (V)
Fig 1.
Typical Output Characteristics
Fig 2.
Typical Output Characteristics 100 2.0 ec ID = 5.0A na ) t V s GS = 10V Α i ( s e tn R er n r 10 1.5 O u C e ) c e r d c u ez r o il u TJ = -40°C S a o - S o m - T t r J = 25°C - o ot n - i N n T a ( i 1 J = 150°C r 1.0 a D r , D ) , n I D o V ( DS = 25V S D ≤60µs PULSE WIDTH R 0.1 0.5 2 4 6 8 10 12 -60 -40 -20 0 20 40 60 80 100 120 140 160 T V J , Junction Temperature (°C) GS, Gate-to-Source Voltage (V)
Fig 3.
Typical Transfer Characteristics
Fig 4.
Normalized On-Resistance vs. Temperature 10000 12.0 VGS = 0V, f = 1 MHZ I C D= 5.0A iss = C gs + Cgd, C ds SHORTED C ) rss = Cgd 10.0 V( VDS= 80V C oss = Cds + Cgd eg V ) a DS= 50V F t 1000 l p o 8.0 V ( DS= 20V e V c Ciss e n c a r ti u c o 6.0 a S p C - a oss ot C - , e 100 t 4.0 C a G , Crss S GV 2.0 10 0.0 1 10 100 0 2 4 6 8 10 VDS, Drain-to-Source Voltage (V) QG Total Gate Charge (nC)
Fig 5.
Typical Capacitance vs.Drain-to-Source Voltage
Fig 6.
Typical Gate Charge vs.Gate-to-Source Voltage www.irf.com 3