Datasheet MBRD835L, SBRD8835L (ON Semiconductor) - 3
| Manufacturer | ON Semiconductor |
| Description | Schottky Barrier Rectifier, 35 V, 8.0 A |
| Pages / Page | 7 / 3 — MBRD835L, SBRD8835L. TYPICAL CHARACTERISTICS. Figure 1. Maximum Forward … |
| Revision | 13 |
| File Format / Size | PDF / 180 Kb |
| Document Language | English |
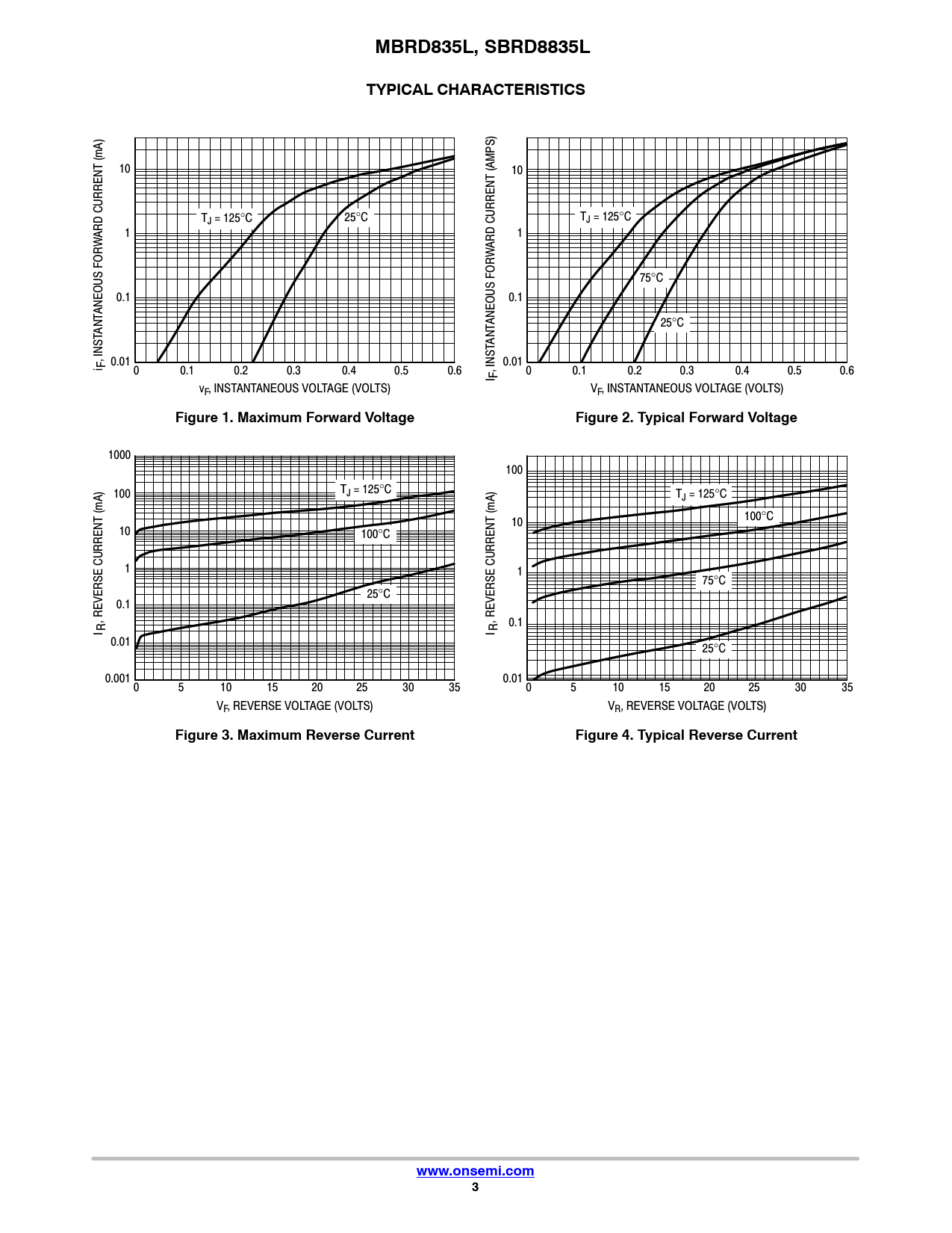
MBRD835L, SBRD8835L. TYPICAL CHARACTERISTICS. Figure 1. Maximum Forward Voltage. Figure 2. Typical Forward Voltage

Model Line for this Datasheet
Text Version of Document
MBRD835L, SBRD8835L TYPICAL CHARACTERISTICS
(mA) 10 (AMPS) 10 T T J = 125°C 25°C J = 125°C ARD CURRENT 1 1 W ARD CURRENT W 75°C 0.1 0.1 ANEOUS FOR ANEOUS FOR 25°C ANT ANT , INST i F 0.01 0.01 0 0.1 0.2 0.3 0.4 0.5 0.6 , INST 0 0.1 0.2 0.3 0.4 0.5 0.6 I F vF, INSTANTANEOUS VOLTAGE (VOLTS) VF, INSTANTANEOUS VOLTAGE (VOLTS)
Figure 1. Maximum Forward Voltage Figure 2. Typical Forward Voltage
1000 100 T 100 J = 125°C TJ = 125°C (mA) (mA) 100°C 10 10 100°C 1 1 75°C 25°C 0.1 , REVERSE CURRENT , REVERSE CURRENT 0.1 I R I R 0.01 25°C 0.001 0.01 0 5 10 15 20 25 30 35 0 5 10 15 20 25 30 35 VF, REVERSE VOLTAGE (VOLTS) VR, REVERSE VOLTAGE (VOLTS)
Figure 3. Maximum Reverse Current Figure 4. Typical Reverse Current www.onsemi.com 3