Datasheet AOZ7270DI (Alpha & Omega) - 7
| Manufacturer | Alpha & Omega |
| Description | 600V "Zero Bridge Loss" AlphaZBL Ideal Diode |
| Pages / Page | 17 / 7 — AOZ7270DI. Efficiency. iency. ffic. l E. Output Power (W). Figure 11. … |
| File Format / Size | PDF / 1.1 Mb |
| Document Language | English |
AOZ7270DI. Efficiency. iency. ffic. l E. Output Power (W). Figure 11. 100W PFC Efficiency at 115V

Model Line for this Datasheet
Text Version of Document
AOZ7270DI Efficiency
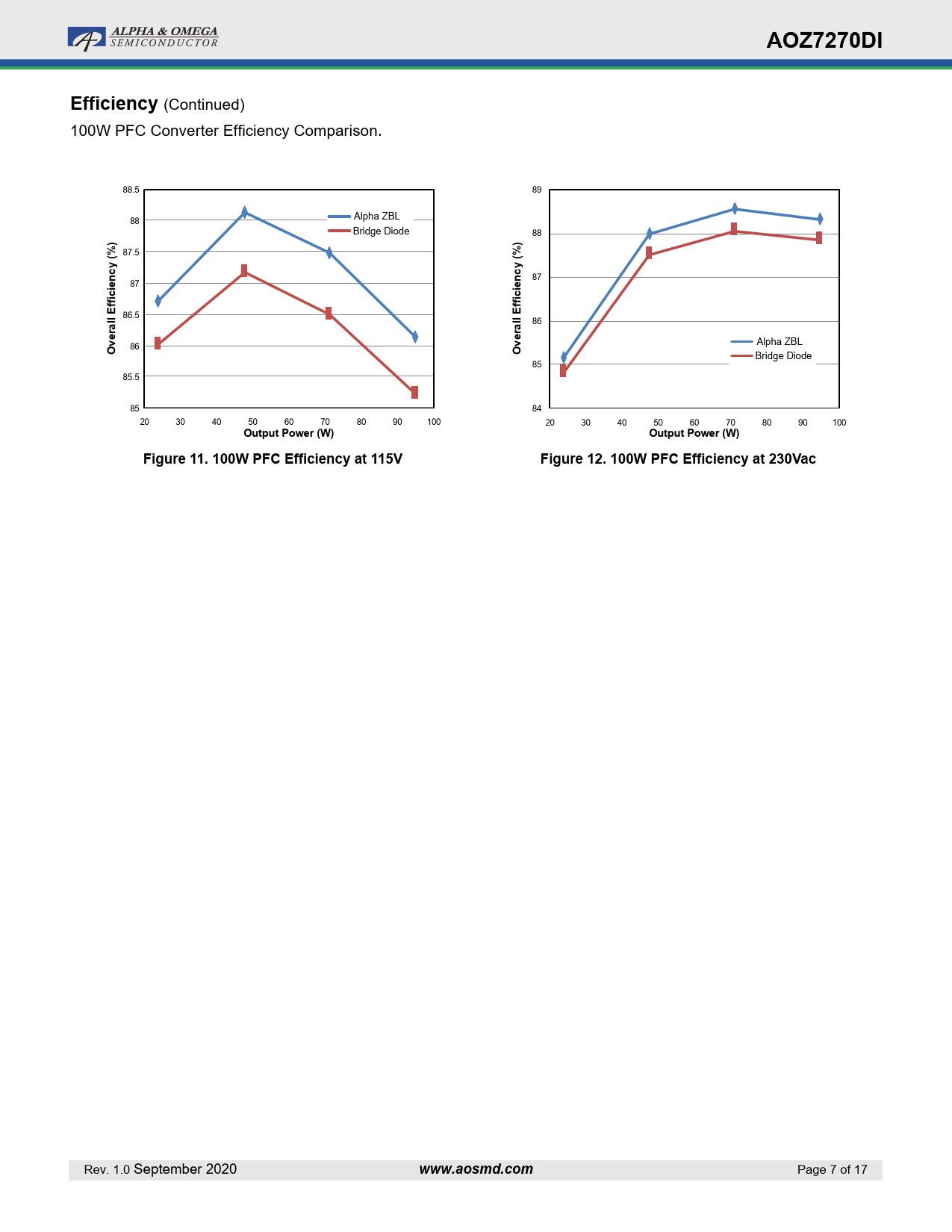
(Continued) 100W PFC Converter Efficiency Comparison. 88.5 89 Alpha ZBL 88 Bridge Diode 88
) ) (%
87.5
(%
87
iency
87
iency ffic ffic l E
86.5
l E al al
86
er er v v
Alpha ZBL
O
86
O
Bridge Diode 85 85.5 85 84 20 30 40 50 60 70 80 90 100 20 30 40 50 60 70 80 90 100
Output Power (W) Output Power (W) Figure 11. 100W PFC Efficiency at 115V Figure 12. 100W PFC Efficiency at 230Vac
Rev. 1.0 September 2020
www.aosmd.com
Page 7 of 17