Datasheet ADG852 (Analog Devices) - 9

ManufacturerAnalog Devices
Description0.8 Ω CMOS, 1.8 V to 5.5 V, SPDT/2:1 Mux Mini LFCSP
Pages / Page16 / 9 — Data Sheet. ADG852. TA = 25°C VDD = 5V, 3.3V. –20. –40. B) –60. RR ( S …
RevisionB
File Format / SizePDF / 205 Kb
Document LanguageEnglish

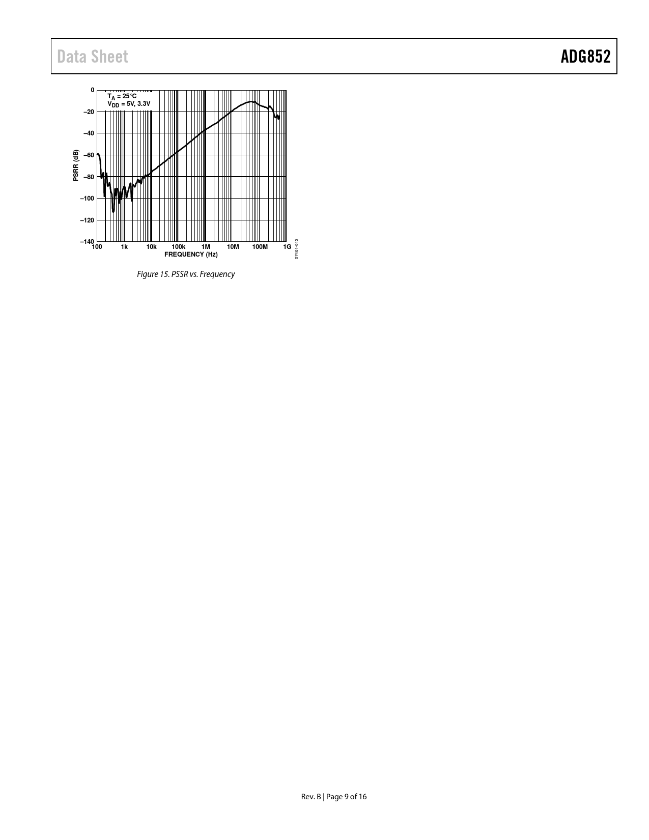
Data Sheet. ADG852. TA = 25°C VDD = 5V, 3.3V. –20. –40. B) –60. RR ( S –80. –100. –120. –140100. 10k. 100k. 10M. 100M. FREQUENCY (Hz)

Data Sheet ADG852 TA = 25°C VDD = 5V, 3.3V –20 –40 B) –60 RR ( S –80 –100 –120 –140100 10k 100k 10M 100M FREQUENCY (Hz)

Model Line for this Datasheet

Text Version of Document

Data Sheet ADG852 0 TA = 25°C VDD = 5V, 3.3V –20 –40 B) –60 d RR ( S –80 P –100 –120 –140100 1k 10k 100k 1M 10M 100M 1G
015
FREQUENCY (Hz)
07461- Figure 15. PSSR vs. Frequency Rev. B | Page 9 of 16 Document Outline Features Applications Functional Block Diagram General Description Product Highlights Revision History Specifications Absolute Maximum Ratings ESD Caution Pin Configuration and Function Description Typical Performance Characteristics Test Circuits Terminology Outline Dimensions Ordering Guide