Datasheet ADM803, ADM809, ADM810 (Analog Devices) - 7

ManufacturerAnalog Devices
DescriptionMicroprocessor Supervisory Circuits in 3-Lead SC70 and SOT-23
Pages / Page11 / 7 — Data Sheet. ADM803/ADM809/ADM810. 400. 350. µ N ( 300. 250. DURAT NT. …
File Format / SizePDF / 211 Kb
Document LanguageEnglish

Data Sheet. ADM803/ADM809/ADM810. 400. 350. µ N ( 300. 250. DURAT NT. 200. RANS 150. ADM8xxL/M/J. UM 100. ADM8xxR/S/T/Z. 0 1. 100. 1000

Data Sheet ADM803/ADM809/ADM810 400 350 µ N ( 300 250 DURAT NT 200 RANS 150 ADM8xxL/M/J UM 100 ADM8xxR/S/T/Z 0 1 100 1000

Model Line for this Datasheet

Text Version of Document

Data Sheet ADM803/ADM809/ADM810 400 350 s) µ N ( 300 IO 250 DURAT NT 200 IE RANS 150 T ADM8xxL/M/J UM 100 IM AX ADM8xxR/S/T/Z M 50 0 1 10 100 1000
010
RESET COMPARATOR OVERDRIVE, VTH – VCC (mV)
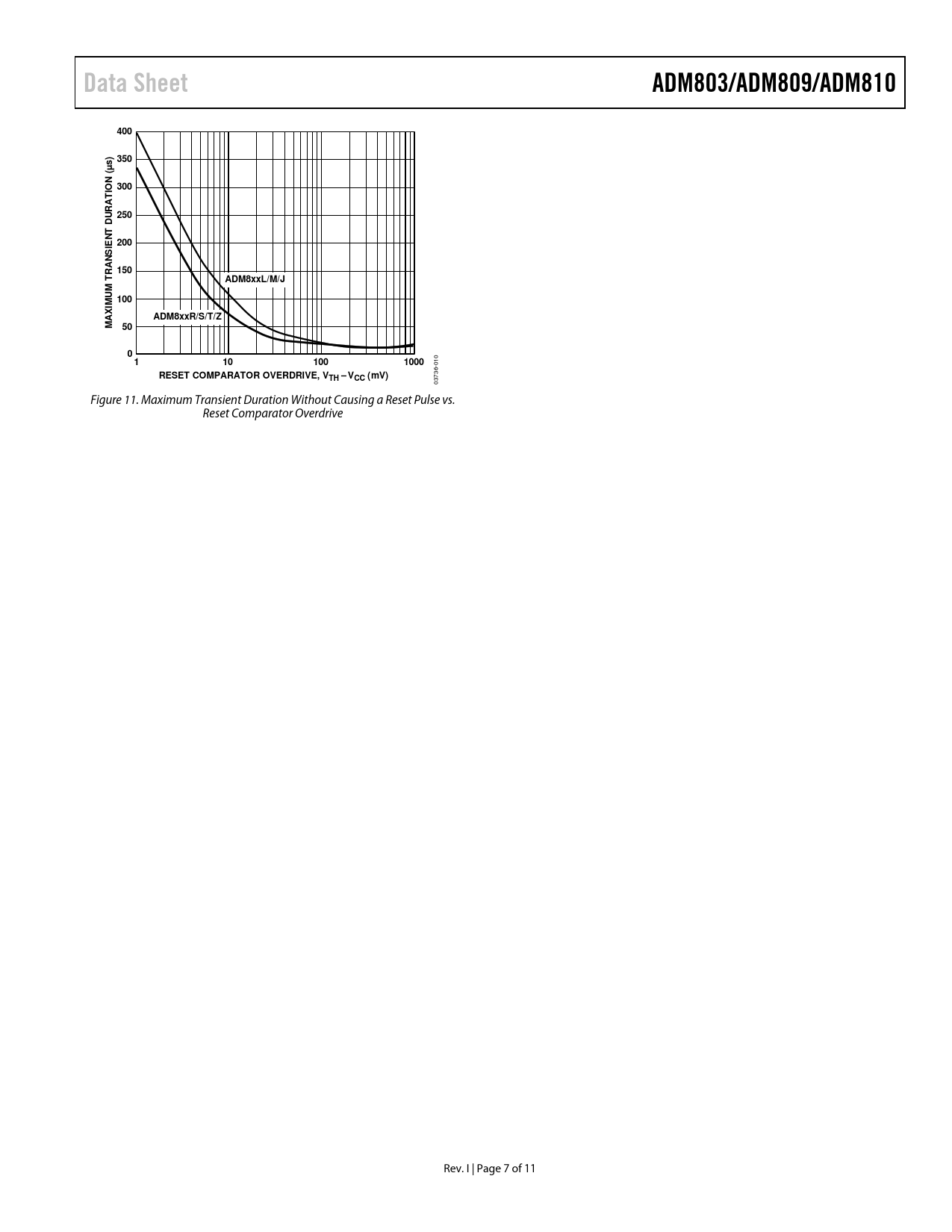
03736- Figure 11. Maximum Transient Duration Without Causing a Reset Pulse vs. Reset Comparator Overdrive Rev. I | Page 7 of 11 Document Outline FEATURES APPLICATIONS FUNCTIONAL BLOCK DIAGRAMS GENERAL DESCRIPTION TABLE OF CONTENTS REVISION HISTORY SPECIFICATIONS ABSOLUTE MAXIMUM RATINGS ESD CAUTION PIN CONFIGURATIONS AND FUNCTION DESCRIPTIONS TYPICAL PERFORMANCE CHARACTERISTICS INTERFACING TO OTHER DEVICES ENSURING A VALID RESET OUTPUT DOWN TO VCC = 0 V BENEFITS OF AN ACCURATE RESET THRESHOLD INTERFACING TO MICROPROCESSORS WITH MULTIPLE INTERRUPTS OUTLINE DIMENSIONS ORDERING GUIDE