Datasheet LMP2015, LMP2016 (National Semiconductor) - 8

ManufacturerNational Semiconductor
DescriptionSingle/Dual High Precision, Rail-to-Rail Output Operational Amplifier
Pages / Page16 / 8 — Open Loop Gain and Phase vs. Resistive Load @ 2.7V. Open Loop Gain and …
File Format / SizePDF / 527 Kb
Document LanguageEnglish

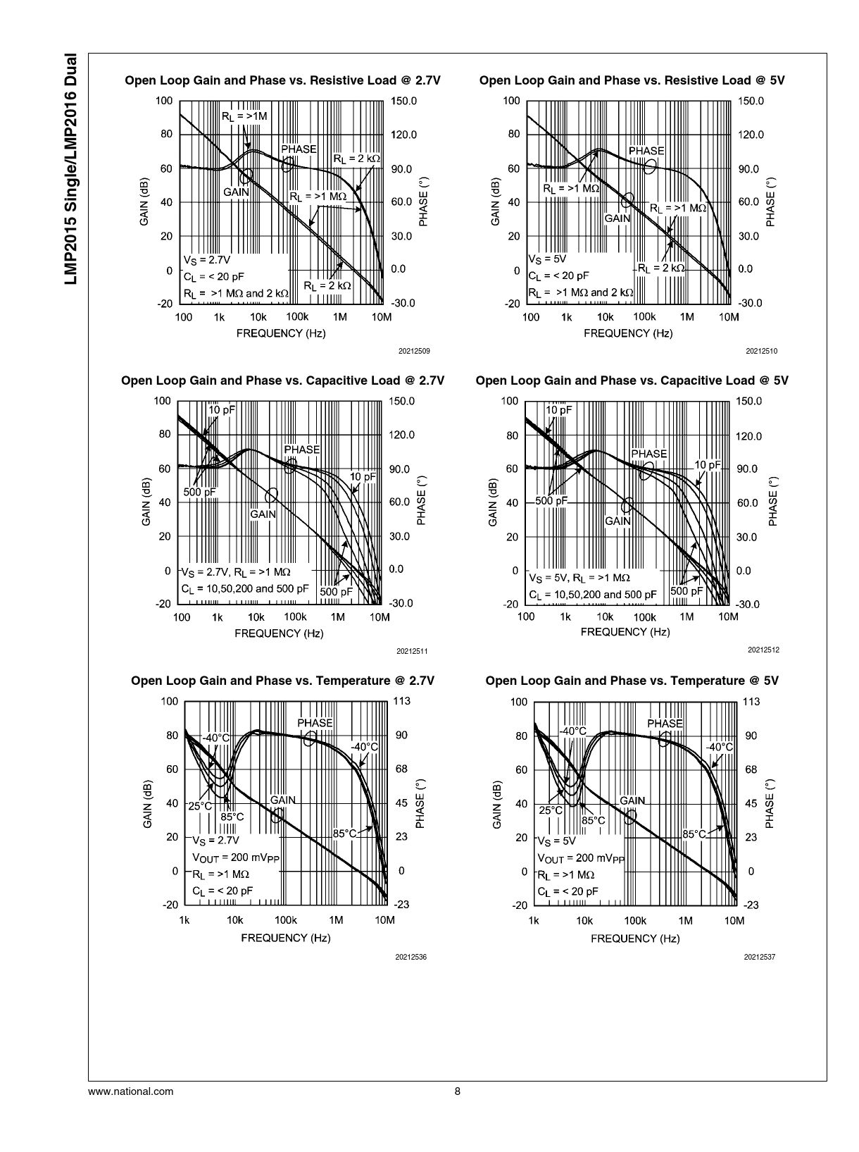
Open Loop Gain and Phase vs. Resistive Load @ 2.7V. Open Loop Gain and Phase vs. Resistive Load @ 5V

Open Loop Gain and Phase vs Resistive Load @ 2.7V Open Loop Gain and Phase vs Resistive Load @ 5V

Model Line for this Datasheet

Text Version of Document

Open Loop Gain and Phase vs. Resistive Load @ 2.7V Open Loop Gain and Phase vs. Resistive Load @ 5V LMP2015 Single/LMP2016 Dual
20212509 20212510
Open Loop Gain and Phase vs. Capacitive Load @ 2.7V Open Loop Gain and Phase vs. Capacitive Load @ 5V
20212511 20212512
Open Loop Gain and Phase vs. Temperature @ 2.7V Open Loop Gain and Phase vs. Temperature @ 5V
20212536 20212537 www.national.com 8 Document Outline LMP2015 Single/LMP2016 Dual General Description Features Applications Connection Diagrams Ordering Information Absolute Maximum Ratings Operating Ratings 2.7V DC Electrical Characteristics 2.7V AC Electrical Characteristics 5V DC Electrical Characteristics 5V AC Electrical Characteristics Typical Performance Characteristics Application Information THE BENEFITS OF THE LMP2015/LMP2016'sNO 1/f NOISE OVERLOAD RECOVERY FIGURE 1. Overload Recovery Test NO EXTERNAL CAPACITORS REQUIRED MORE BENEFITS HOW THE LMP2015/LMP2016 WORK FIGURE 2. The Output of a Chopper Stabilized Op Amp (MAX432) FIGURE 3. The Output of the LMP2015/LMP2016 INPUT CURRENTS PRECISION STRAIN GAUGE AMPLIFIER FIGURE 4. Precision Strain Gauge Amplifier FIGURE 5. Composite Amplifier Configuration TABLE 1. Composite Amplifier Measured Performance FIGURE 6. Composite Amplifier Configuration FIGURE 7. AC Coupled ADC Driver LMP2015 AS AN ADC DRIVER FIGURE 8. DC Coupled ADC Driver Physical Dimensions