Datasheet TLV9151, TLV9152, TLV9154 (Texas Instruments)

ManufacturerTexas Instruments
Description4.5-MHz, Rail-to-Rail Input/Output, Low Offset Voltage, Low Noise Op Amp
Pages / Page82 / 1 — TLV9151,. TLV9152,. TLV9154. TLV915x 4.5-MHz, Rail-to-Rail Input/Output, …
File Format / SizePDF / 6.5 Mb
Document LanguageEnglish

TLV9151,. TLV9152,. TLV9154. TLV915x 4.5-MHz, Rail-to-Rail Input/Output, Low Offset Voltage, Low Noise Op Amp. 1 Features

Datasheet TLV9151, TLV9152, TLV9154 Texas Instruments

Model Line for this Datasheet

Text Version of Document

link to page 1
TLV9151, TLV9152, TLV9154
SBOS986E – OCTOBER 2019 – REVISED JANUARY 2022
TLV915x 4.5-MHz, Rail-to-Rail Input/Output, Low Offset Voltage, Low Noise Op Amp 1 Features 3 Description
• Low offset voltage: ±125 µV The TLV915x family (TLV9151, TLV9152, and • Low offset voltage drift: ±0.3 µV/°C TLV9154) is a family of 16-V, general purpose • Low noise: 10.5 nV/√Hz at 1 kHz operational amplifiers. These devices offer • High common-mode rejection: 120 dB exceptional DC precision and AC performance, • Low bias current: ±10 pA including rail-to-rail output, low offset (±125 µV, • Rail-to-rail input and output typical), low offset drift (±0.3 µV/°C, typical), and 4.5- • Wide bandwidth: 4.5-MHz GBW MHz bandwidth. • High slew rate: 20 V/µs Convenient features such as wide differential input- • Low quiescent current: 560 µA per amplifier voltage range, high output current (±75 mA), high • Wide supply: ±1.35 V to ±8 V, 2.7 V to 16 V slew rate (20 V/μs), and low noise (10.5 nV/√Hz) • Robust EMIRR performance: EMI/RFI filters on make the TLV915x a robust, low-noise operational input pins amplifier for industrial applications. • Differential and common-mode input voltage range to supply rail The TLV915x family of op amps is available in • Industry standard packages: standard packages and is specified from –40°C to – Single in SOT-23-5, SOT-23-6, and SC70-5 125°C. – Dual in SOIC-8, SOT-23-8, TSSOP-8,
Device Information
VSSOP-8, WSON-8, and X2QFN-10
PART NUMBER
(1)
PACKAGE BODY SIZE (NOM)
– Quad in SOIC-14, SOT-23-14, TSSOP-14, and X2QFN-14 SOT-23 (5) 2.90 mm × 1.60 mm TLV9151 SOT-23 (6) 2.90 mm × 1.60 mm
2 Applications
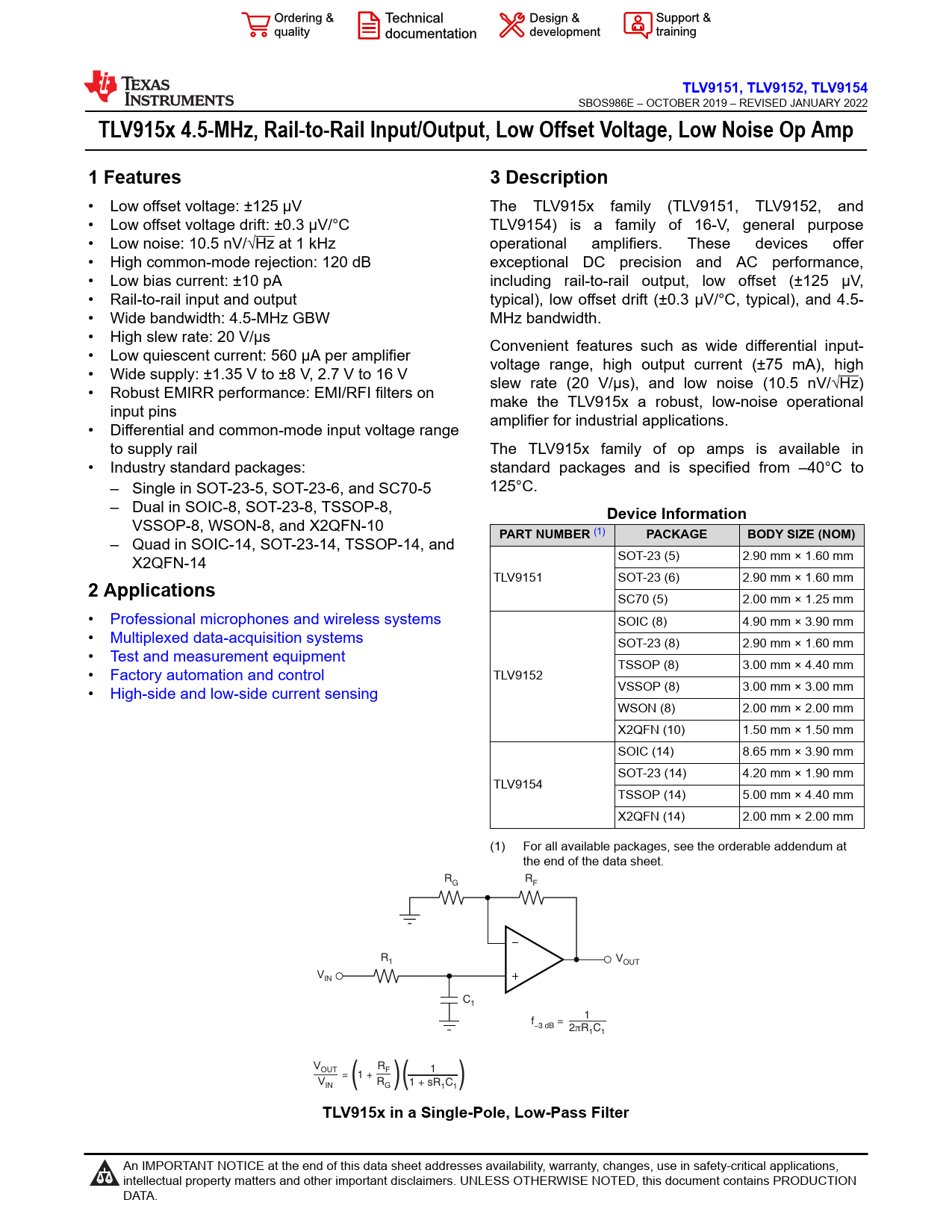
SC70 (5) 2.00 mm × 1.25 mm • Professional microphones and wireless systems SOIC (8) 4.90 mm × 3.90 mm • Multiplexed data-acquisition systems SOT-23 (8) 2.90 mm × 1.60 mm • Test and measurement equipment TSSOP (8) 3.00 mm × 4.40 mm • Factory automation and control TLV9152 • High-side and low-side current sensing VSSOP (8) 3.00 mm × 3.00 mm WSON (8) 2.00 mm × 2.00 mm X2QFN (10) 1.50 mm × 1.50 mm SOIC (14) 8.65 mm × 3.90 mm SOT-23 (14) 4.20 mm × 1.90 mm TLV9154 TSSOP (14) 5.00 mm × 4.40 mm X2QFN (14) 2.00 mm × 2.00 mm (1) For all available packages, see the orderable addendum at the end of the data sheet. R R G F R1 VOUT VIN C1 1 f = -3 dB 2pR C 1 1 V R OUT F 1 = 1 + ( V R IN G 1 + sR C 1 1
TLV915x in a Single-Pole, Low-Pass Filter
An IMPORTANT NOTICE at the end of this data sheet addresses availability, warranty, changes, use in safety-critical applications, intellectual property matters and other important disclaimers. UNLESS OTHERWISE NOTED, this document contains PRODUCTION DATA. Document Outline 1 Features 2 Applications 3 Description Table of Contents 4 Revision History 5 Pin Configuration and Functions 6 Specifications 6.1 Absolute Maximum Ratings 6.2 ESD Ratings 6.3 Recommended Operating Conditions 6.4 Thermal Information for Single Channel 6.5 Thermal Information for Dual Channel 6.6 Thermal Information for Quad Channel 6.7 Electrical Characteristics 6.8 Typical Characteristics 7 Detailed Description 7.1 Overview 7.2 Functional Block Diagram 7.3 Feature Description 7.3.1 EMI Rejection 7.3.2 Thermal Protection 7.3.3 Capacitive Load and Stability 7.3.4 Common-Mode Voltage Range 7.3.5 Phase Reversal Protection 7.3.6 Electrical Overstress 7.3.7 Overload Recovery 7.3.8 Typical Specifications and Distributions 7.3.9 Packages With an Exposed Thermal Pad 7.3.10 Shutdown 7.4 Device Functional Modes 8 Application and Implementation 8.1 Application Information 8.2 Typical Applications 8.2.1 Low-Side Current Measurement 8.2.1.1 Design Requirements 8.2.1.2 Detailed Design Procedure 8.2.1.3 Application Curves 9 Power Supply Recommendations 10 Layout 10.1 Layout Guidelines 10.2 Layout Example 11 Device and Documentation Support 11.1 Device Support 11.1.1 Development Support 11.1.1.1 TINA-TI™ (Free Software Download) 11.1.1.2 TI Precision Designs 11.2 Documentation Support 11.2.1 Related Documentation 11.3 Receiving Notification of Documentation Updates 11.4 Support Resources 11.5 Trademarks 11.6 Electrostatic Discharge Caution 11.7 Glossary 12 Mechanical, Packaging, and Orderable Information