Datasheet VOFD343A (Vishay) - 7

ManufacturerVishay
Description4 A Output Current IGBT and MOSFET Driver
Pages / Page12 / 7 — VOFD343A
File Format / SizePDF / 225 Kb
Document LanguageEnglish

VOFD343A

VOFD343A

Model Line for this Datasheet

Text Version of Document

VOFD343A
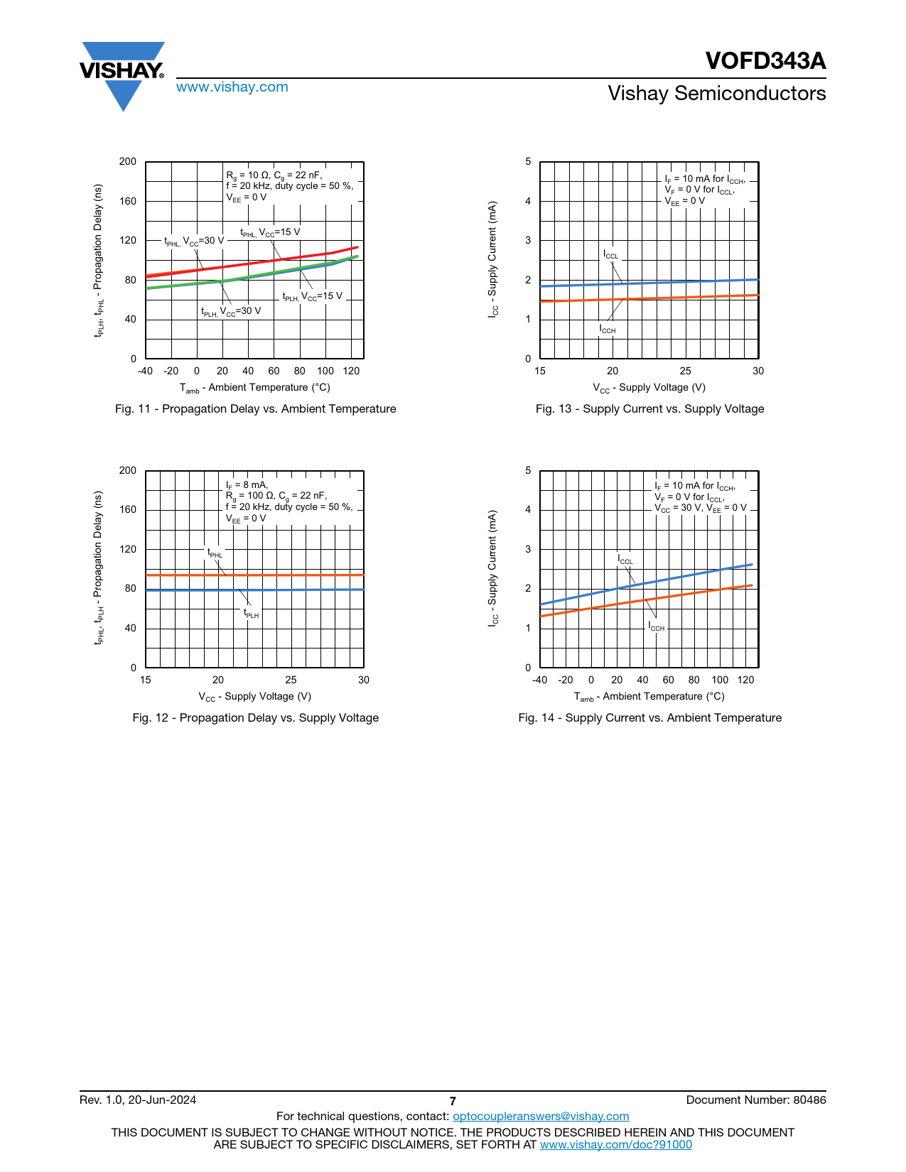
www.vishay.com Vishay Semiconductors Axis Title Axis Title 200 10000 5 10000 R = 10 Ω, C = 22 nF, g g I = 10 mA for I , f = 20 kHz, duty cycle = 50 %, F CCH V = 0 V for I , F CCL (ns) 160 V = 0 V EE ) 4 V = 0 V y EE a A (m 1000 1000 t V =15 V PHL, CC 120 t V =30 V 3 PHL, CC rrent ine ne ne ine u I ne ne CCL C y 1st li 2nd l 2nd li 2nd l 1st li ropagation Del 2nd li 80 2 P uppl - 100 t V =15 V S 100 PLH, CC - PHL t V =30 V , t PLH, CC 40 I CC 1 H I t PL CCH 0 10 0 10 -40 -20 0 20 40 60 80 100 120 15 20 25 30 T - Ambient Temperature (°C) V - Supply Voltage (V) amb CC Fig. 11 - Propagation Delay vs. Ambient Temperature Fig. 13 - Supply Current vs. Supply Voltage Axis Title Axis Title 200 10000 5 10000 I = 8 mA, F I = 10 mA for I , F CCH R = 100 Ω, C = 22 nF, g g V = 0 V for I , F CCL (ns) 160 f = 20 kHz, duty cycle = 50 %, V = 30 V, V = 0 V y ) 4 CC EE a V = 0 V A EE (m 1000 1000 120 t 3 PHL rrent ine ne ne ine u ICCL ne ne C y 2nd l 1st li 2nd li 2nd l 1st li ropagation Del 2nd li 80 2 P uppl - 100 S 100 H t - PL PLH , t 40 I CC 1 ICCH t PHL 0 10 0 10 15 20 25 30 -40 -20 0 20 40 60 80 100 120 V - Supply Voltage (V) T - Ambient Temperature (°C) CC amb Fig. 12 - Propagation Delay vs. Supply Voltage Fig. 14 - Supply Current vs. Ambient Temperature Rev. 1.0, 20-Jun-2024
7
Document Number: 80486 For technical questions, contact: optocoupleranswers@vishay.com THIS DOCUMENT IS SUBJECT TO CHANGE WITHOUT NOTICE. THE PRODUCTS DESCRIBED HEREIN AND THIS DOCUMENT ARE SUBJECT TO SPECIFIC DISCLAIMERS, SET FORTH AT www.vishay.com/doc?91000