Datasheet LM146, LM346 (Texas Instruments) - 5
| Manufacturer | Texas Instruments |
| Description | Programmable Quad Low Power Op Amps |
| Pages / Page | 24 / 5 — LM146,. LM346. www.ti.com. TYPICAL PERFORMANCE CHARACTERISTICS. Input … |
| Revision | B |
| File Format / Size | PDF / 1.7 Mb |
| Document Language | English |
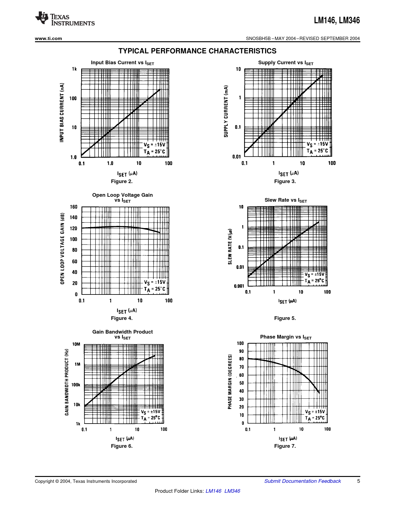
LM146,. LM346. www.ti.com. TYPICAL PERFORMANCE CHARACTERISTICS. Input Bias Current vs ISET. Supply Current vs ISET. Figure 2

Model Line for this Datasheet
Text Version of Document
LM146, LM346 www.ti.com
SNOSBH5B – MAY 2004 – REVISED SEPTEMBER 2004
TYPICAL PERFORMANCE CHARACTERISTICS Input Bias Current vs ISET Supply Current vs ISET Figure 2. Figure 3. Open Loop Voltage Gain vs ISET Slew Rate vs ISET Figure 4. Figure 5. Gain Bandwidth Product vs ISET Phase Margin vs ISET Figure 6. Figure 7.
Copyright © 2004, Texas Instruments Incorporated Submit Documentation Feedback 5 Product Folder Links: LM146 LM346 Document Outline FEATURES DESCRIPTION Connection Diagram Capacitorless Active Filters (Basic Circuit) ABSOLUTE MAXIMUM RATINGS DC ELECTRICAL CHARACTERISTICS DC ELECTRICAL CHARACTERISTIC DC ELECTRICAL CHARACTERISTICS TYPICAL PERFORMANCE CHARACTERISTICS APPLICATION HINTS COMMON-MODE INPUT VOLTAGE OUTPUT VOLTAGE SWING VS ISET INPUT CAPACITANCE TEMPERATURE EFFECT ON THE GBW ISOLATION BETWEEN AMPLIFIERS LM146 TYPICAL PERFORMANCE SUMMARY SPEED VS POWER CONSUMPTION Typical Applications Active Filters Applications Circuit Synthesis Equations Circuit Synthesis Equations Miscellaneous Applications Schematic Diagram