Datasheet ADA4665-2 (Analog Devices) - 9

ManufacturerAnalog Devices
Description16 V, 1 MHz, CMOS RRIO, Dual Op Amp
Pages / Page21 / 9 — ADA4665-2. 10k. VSY = 5V. VSY = 16V. L P. S 100. 100. O ) T. ) TO S. V …
File Format / SizePDF / 648 Kb
Document LanguageEnglish

ADA4665-2. 10k. VSY = 5V. VSY = 16V. L P. S 100. 100. O ) T. ) TO S. V OL. (V OL. G A. T L. –40°C. +25°C. +85°C. +125°C. 0.1. 0.001. 0.01. LOAD CURRENT (mA)

ADA4665-2 10k VSY = 5V VSY = 16V L P S 100 100 O ) T ) TO S V OL (V OL G A T L –40°C +25°C +85°C +125°C 0.1 0.001 0.01 LOAD CURRENT (mA)

Text Version of Document

ADA4665-2
TA = 25°C, unless otherwise noted.
10k ) 10k ) V VSY = 5V V VSY = 16V m (m ( IL IL A 1k A R 1k R Y Y L L P PP P U U S 100 100 O ) T ) TO S V OL (V OL ( E 10 E 10 G A AG T L T L O –40°C –40°C O V 1 V +25°C T +25°C 1 U UT +85°C P TP +85°C +125°C +125°C UT OU O 0.1
8
0.1 0.001 0.01 0.1 1 10 100
15 01
0.001 0.01 0.1 1 10 100
0 0- 0-
LOAD CURRENT (mA)
65
LOAD CURRENT (mA)
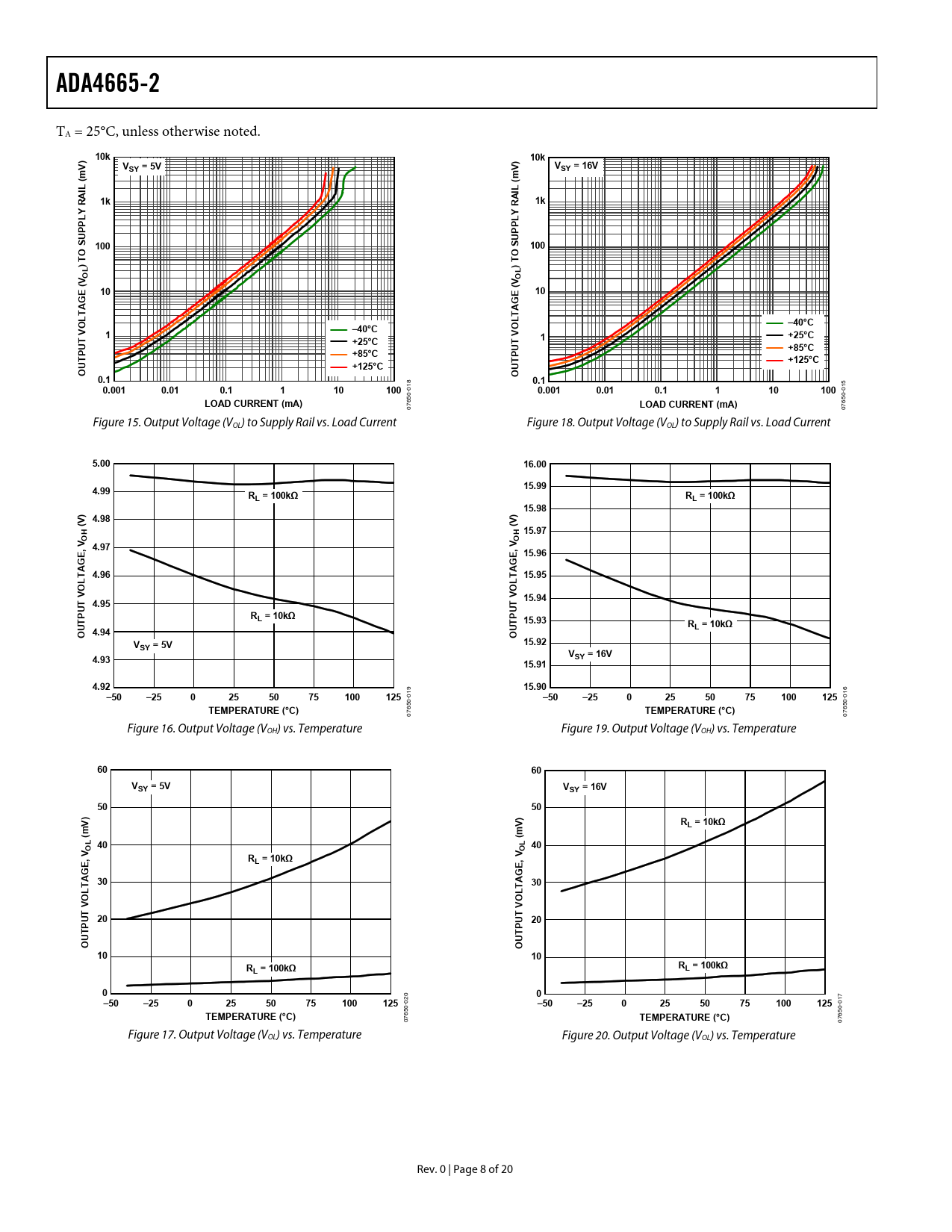
65 07 07 Figure 15. Output Voltage (VOL) to Supply Rail vs. Load Current Figure 18. Output Voltage (VOL) to Supply Rail vs. Load Current
5.00 16.00 15.99 4.99 RL = 100kΩ RL = 100kΩ 15.98 ) 4.98 ) (V (V 15.97 OH OH , V 4.97 , V E E 15.96 G G A A T 4.96 T 15.95 L L O O V V T 15.94 4.95 T U U R TP L = 10kΩ TP 15.93 RL = 10kΩ 4.94 OU OU V 15.92 SY = 5V V 4.93 SY = 16V 15.91 4.92
9
15.90
6
–50 –25 0 25 50 75 100 125
01
–50 –25 0 25 50 75 100 125
01 0- 0-
TEMPERATURE (°C)
65
TEMPERATURE (°C)
65 07 07 Figure 16. Output Voltage (VOH) vs. Temperature Figure 19. Output Voltage (VOH) vs. Temperature
60 60 VSY = 5V VSY = 16V 50 50 V) V) RL = 10kΩ (m (m 40 OL 40 OL , V R , V E L = 10kΩ E G G A 30 A 30 LT LT O O V V T T U 20 U 20 TP TP OU OU 10 10 R R L = 100kΩ L = 100kΩ 0
0
0
7
–50 –25 0 25 50 75 100 125
02
–50 –25 0 25 50 75 100 125
01 0- 0-
TEMPERATURE (°C)
65
TEMPERATURE (°C)
65 07 07 Figure 17. Output Voltage (VOL) vs. Temperature Figure 20. Output Voltage (VOL) vs. Temperature Rev. 0 | Page 8 of 20 Document Outline FEATURES APPLICATIONS PIN CONFIGURATIONS GENERAL DESCRIPTION TABLE OF CONTENTS REVISION HISTORY SPECIFICATIONS ELECTRICAL CHARACTERISTICS—16 V OPERATION ELECTRICAL CHARACTERISTICS—5 V OPERATION ABSOLUTE MAXIMUM RATINGS THERMAL RESISTANCE ESD CAUTION TYPICAL PERFORMANCE CHARACTERISTICS APPLICATIONS INFORMATION RAIL-TO-RAIL INPUT OPERATION CURRENT SHUNT SENSOR ACTIVE FILTERS OUTLINE DIMENSIONS ORDERING GUIDE