Datasheet AD8665, AD8666, AD8668 (Analog Devices) - 9

ManufacturerAnalog Devices
Description16 V, 4 MHz Rail-to-Rail Single Op Amp
Pages / Page16 / 9 — AD8665/AD8666/AD8668. 120. VDD = 5V. VCM = 2.5V. ILOAD = 1mA. –40°C ≤ T. …
RevisionB
File Format / SizePDF / 629 Kb
Document LanguageEnglish

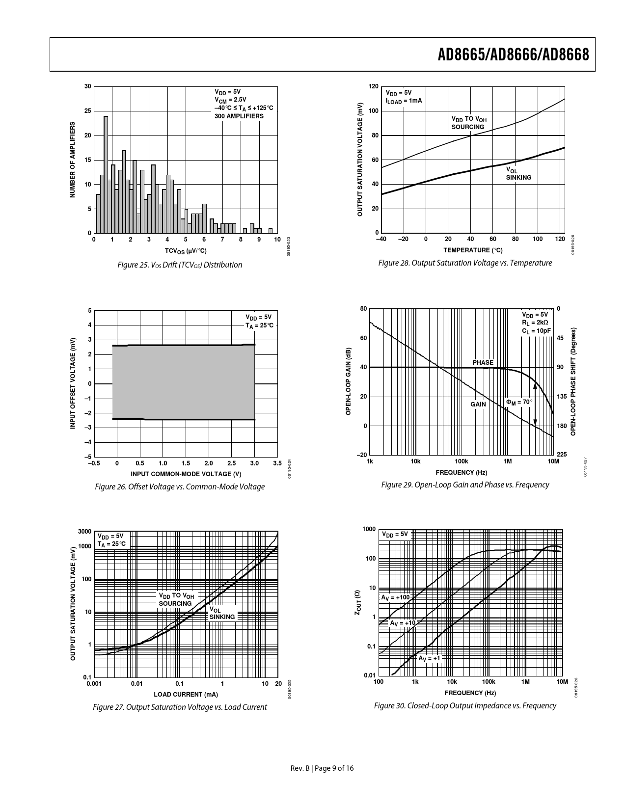
AD8665/AD8666/AD8668. 120. VDD = 5V. VCM = 2.5V. ILOAD = 1mA. –40°C ≤ T. A ≤ +125°C. 100. 300 AMPLIFIERS. VDD TO VOH. SOURCING. IF L. OLTA. AM F

AD8665/AD8666/AD8668 120 VDD = 5V VCM = 2.5V ILOAD = 1mA –40°C ≤ T A ≤ +125°C 100 300 AMPLIFIERS VDD TO VOH SOURCING IF L OLTA AM F

Model Line for this Datasheet

Text Version of Document

AD8665/AD8666/AD8668 30 120 VDD = 5V VDD = 5V VCM = 2.5V ) ILOAD = 1mA –40°C ≤ T V 25 A ≤ +125°C m 100 300 AMPLIFIERS ( VDD TO VOH GE RS SOURCING IE 20 80 IF L OLTA P V AM F 15 TION 60 A V R O R OL TU SINKING BE 10 A 40 NUM T S U TP 5 20 OU 0 0 0 1 2 3 4 5 6 7 8 9 10 –40 –20 0 20 40 60 80 100 120
023 026
TCVOS (µV/°C) TEMPERATURE (°C)
06195- 06195- Figure 25. V Figure 28. Output Saturation Voltage vs. Temperature OS Drift (TCVOS) Distribution
5 80 0 V VDD = 5V DD = 5V 4 T RL = 2kΩ A = 25°C CL = 10pF ) 60 45 V 3 rees) m ) ( Deg 2 dB ( GE ( T PHASE F IN 1 40 90 HI OLTA GA S E T V 0 E HAS –1 -LOOP 20 135 P N Ф P E M = 70° GAIN O T OFFS –2 OP O U L P N- IN –3 0 180 E P O –4 –5 –20 225 –0.5 0 0.5 1.0 1.5 2.0 2.5 3.0 3.5 1k 10k 100k 1M 10M
024 027
INPUT COMMON-MODE VOLTAGE (V) FREQUENCY (Hz)
06195- 06195- Figure 26. Offset Voltage vs. Common-Mode Voltage Figure 29. Open-Loop Gain and Phase vs. Frequency
3000 1000 V V DD = 5V DD = 5V T ) 1000 A = 25°C V m ( 100 GE 100 OLTA 10 V V Ω) DD TO VOH ( AV = +100 SOURCING TION UT A V 10 OL O R Z SINKING 1 TU AV = +10 A T S U 1 0.1 TP OU AV = +1 0.1 0.01 0.001 0.01 0.1 1 10 20 100 1k 10k 100k 1M 10M
025 028
LOAD CURRENT (mA) FREQUENCY (Hz)
06195- 06195- Figure 27. Output Saturation Voltage vs. Load Current Figure 30. Closed-Loop Output Impedance vs. Frequency Rev. B | Page 9 of 16 Document Outline Features Applications General Description Pin Configurations Revision History Specifications Absolute Maximum Ratings Thermal Resistance ESD Caution Typical Performance Characteristics Outline Dimensions Ordering Guide