Datasheet AD7781 (Analog Devices) - 9
| Manufacturer | Analog Devices |
| Description | 20-Bit, Pin-Programmable, Ultralow Power Sigma-Delta ADC |
| Pages / Page | 17 / 9 — AD7781. TYPICAL PERFORMANCE CHARACTERISTICS. 524,294. 600. 524,293. … |
| File Format / Size | PDF / 329 Kb |
| Document Language | English |
AD7781. TYPICAL PERFORMANCE CHARACTERISTICS. 524,294. 600. 524,293. 524,292. 400. 524,291. NCE. DE 524,290 CO. CURRE. 524,289. C O 200. 524,288

Model Line for this Datasheet
Text Version of Document
AD7781 TYPICAL PERFORMANCE CHARACTERISTICS 524,294 600 524,293 524,292 400 524,291 NCE DE 524,290 CO CURRE 524,289 C O 200 524,288 524,287 524,286 0 0 200 400 600 800 1000
080
524,275 524,277 524,279 MORE
11 0 2- 2-
SAMPLE
16
CODE
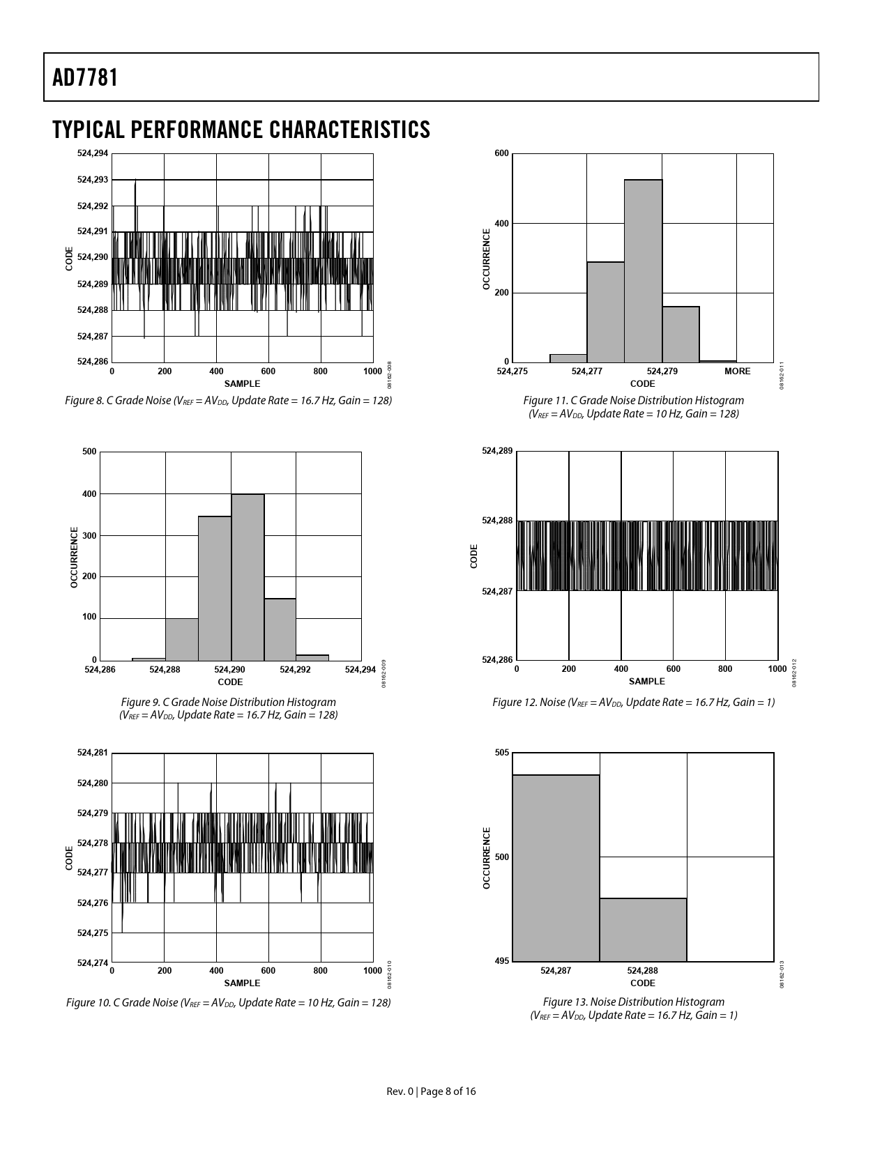
16 08 08 Figure 8. C Grade Noise (VREF = AVDD, Update Rate = 16.7 Hz, Gain = 128) Figure 11. C Grade Noise Distribution Histogram (VREF = AVDD, Update Rate = 10 Hz, Gain = 128)
500 524,289 400 524,288 300 NCE DE CO CURRE 200 C O 524,287 100 0 524,286
12
524,286 524,288 524,290 524,292 524,294
090
0 200 400 600 800 1000
0 2- 2-
CODE
16
SAMPLE
16 08 08 Figure 9. C Grade Noise Distribution Histogram Figure 12. Noise (VREF = AVDD, Update Rate = 16.7 Hz, Gain = 1) (VREF = AVDD, Update Rate = 16.7 Hz, Gain = 128)
524,281 505 524,280 524,279 524,278 NCE E DE 500 CO 524,277 CCURR O 524,276 524,275 524,274 495
3
0 200 400 600 800 1000
100
524,287 524,288
01 2- 2-
SAMPLE
16
CODE
16 08 08 Figure 10. C Grade Noise (VREF = AVDD, Update Rate = 10 Hz, Gain = 128) Figure 13. Noise Distribution Histogram (VREF = AVDD, Update Rate = 16.7 Hz, Gain = 1) Rev. 0 | Page 8 of 16 Document Outline FEATURES APPLICATIONS FUNCTIONAL BLOCK DIAGRAM GENERAL DESCRIPTION TABLE OF CONTENTS REVISION HISTORY SPECIFICATIONS TIMING CHARACTERISTICS Circuit and Timing Diagrams ABSOLUTE MAXIMUM RATINGS THERMAL RESISTANCE ESD CAUTION PIN CONFIGURATIONS AND FUNCTION DESCRIPTIONS TYPICAL PERFORMANCE CHARACTERISTICS OUTPUT NOISE AND RESOLUTION THEORY OF OPERATION FILTER, DATA RATE, AND SETTLING TIME GAIN POWER-DOWN/RESET (PDRST) ANALOG INPUT CHANNEL BIPOLAR CONFIGURATION DATA OUTPUT CODING REFERENCE BRIDGE POWER-DOWN SWITCH DIGITAL INTERFACE APPLICATIONS INFORMATION WEIGH SCALES AD7781 PERFORMANCE IN A WEIGH SCALE SYSTEM EMI RECOMMENDATIONS GROUNDING AND LAYOUT OUTLINE DIMENSIONS ORDERING GUIDE