Datasheet AD7923 (Analog Devices) - 10

ManufacturerAnalog Devices
Description4-Channel 200 kSPS, 12-Bit A/D Converter with Sequencer in 16-Lead TSSOP
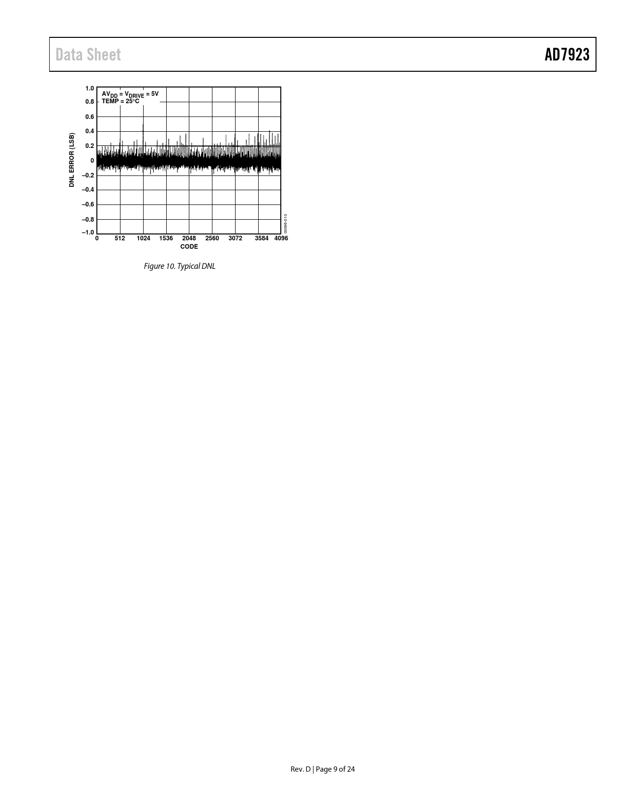
Pages / Page25 / 10 — Data Sheet. AD7923. 1.0. AVDD = VDRIVE = 5V. 0.8. TEMP = 25. 0.6. 0.4. …
RevisionD
File Format / SizePDF / 428 Kb
Document LanguageEnglish

Data Sheet. AD7923. 1.0. AVDD = VDRIVE = 5V. 0.8. TEMP = 25. 0.6. 0.4. 0.2. –0.2. DNL ERROR (LSB). –0.4. –0.6. –0.8. –1.0. 512. 1024. 1536. 2048. 2560. 3072

Data Sheet AD7923 1.0 AVDD = VDRIVE = 5V 0.8 TEMP = 25 0.6 0.4 0.2 –0.2 DNL ERROR (LSB) –0.4 –0.6 –0.8 –1.0 512 1024 1536 2048 2560 3072

Model Line for this Datasheet

Text Version of Document

Data Sheet AD7923 1.0 AVDD = VDRIVE = 5V 0.8 TEMP = 25
°
C 0.6 0.4 0.2 0 –0.2 DNL ERROR (LSB) –0.4 –0.6 –0.8 –1.0
03096-010
0 512 1024 1536 2048 2560 3072 3584 4096 CODE
Figure 10. Typical DNL Rev. D | Page 9 of 24 Document Outline Specifications Timing Specifications Absolute Maximum Ratings ESD Caution Pin Configuration and Function Description Typical Performance Characteristics Terminology Control Register Descriptions Sequencer Operation Theory of Operation Circuit Information Converter Operation Analog Input ADC Transfer Function Handling Bipolar Input Signals Typical Connection Diagram Analog Input Selection Digital Inputs VDRIVE Reference Modes of Operation Normal Mode (PM1 = PM0 = 1) Full Shutdown (PM1 = 1, PM0 = 0) Auto Shutdown (PM1 = 0, PM0 = 1) Powering Up the AD7923 Power vs. Throughput Rate Serial Interface Writing Between Conversions Microprocessor Interfacing AD7923-to-TMS320C541 AD7923-to-ADSP-21xx AD7923-to-DSP563xx Application Hints Grounding and Layout Outline Dimensions Ordering Guide Automotive Products