Datasheet ADXL350 (Analog Devices) - 9

ManufacturerAnalog Devices
Description3-Axis ±1g/±2g/±4g/±8g Digital Accelerometer
Pages / Page37 / 9 — ADXL350. Data Sheet. 100. –40°C TO +25°C. N = 16. +25°C TO +85°C. S = VDD …
File Format / SizePDF / 603 Kb
Document LanguageEnglish

ADXL350. Data Sheet. 100. –40°C TO +25°C. N = 16. +25°C TO +85°C. S = VDD I/O = 3.0V. ) % (. TION A. ) g. T ( U. PO F. O T. –25. EN C. –50. PER. –75. –100

ADXL350 Data Sheet 100 –40°C TO +25°C N = 16 +25°C TO +85°C S = VDD I/O = 3.0V ) % ( TION A ) g T ( U PO F O T –25 EN C –50 PER –75 –100

Model Line for this Datasheet

Text Version of Document

ADXL350 Data Sheet 30 100 –40°C TO +25°C N = 16 75 V +25°C TO +85°C S = VDD I/O = 3.0V ) % ( 50 20 TION A ) g 25 L m PU T ( U 0 PO F TP O T OU –25 10 EN C –50 PER –75 0 –100 6 5 4 3 2 1 0 1 2 3 4 5 6 –60 –40 –20 0 20 40 60 80 100
18 1 15
0. 0. 0. 0. 0. 0.
1
–0. –0. –0. –0. –0. –0. TEMPERATURE (°C)
10271-
ZERO g OFFSET TEMPERATURE COEFFICIENT (mg /°C)
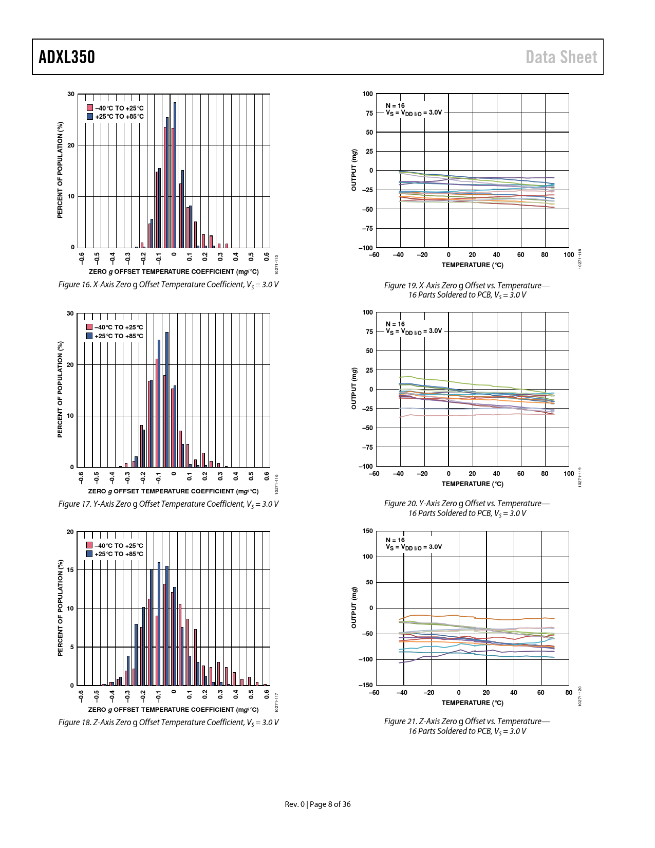
10271- Figure 16. X-Axis Zero g Offset Temperature Coefficient, VS = 3.0 V Figure 19. X-Axis Zero g Offset vs. Temperature— 16 Parts Soldered to PCB, VS = 3.0 V
30 100 N = 16 –40°C TO +25°C 75 VS = VDD I/O = 3.0V +25°C TO +85°C ) % ( 50 20 TION ) A g 25 L m PU T ( U 0 PO F TP O T OU –25 10 EN C –50 PER –75 0 –100 6 5 4 3 2 1 0 1 2 3 4 5 6 –60 –40 –20 0 20 40 60 80 100
19 1 16
0. 0. 0. 0. 0. 0.
1
–0. –0. –0. –0. –0. –0. TEMPERATURE (°C)
10271-
ZERO g OFFSET TEMPERATURE COEFFICIENT (mg /°C)
10271- Figure 17. Y-Axis Zero g Offset Temperature Coefficient, V Figure 20. Y-Axis Zero g Offset vs. Temperature— S = 3.0 V 16 Parts Soldered to PCB, VS = 3.0 V
20 150 N = 16 –40°C TO +25°C VS = VDD I/O = 3.0V +25°C TO +85°C ) 100 % ( 15 TION 50 A ) L g m PU T ( 10 U 0 PO F TP O T OU EN –50 C 5 PER –100 0 –150 6 5 4 3 2 1 0 1 2 3 4 5 6 –60 –40 –20 0 20 40 60 80
120 17
0. 0. 0. 0. 0. 0.
1
–0. –0. –0. –0. –0. –0. TEMPERATURE (°C)
10271-
ZERO g OFFSET TEMPERATURE COEFFICIENT (mg /°C)
10271- Figure 18. Z-Axis Zero g Offset Temperature Coefficient, V Figure 21. Z-Axis Zero g Offset vs. Temperature— S = 3.0 V 16 Parts Soldered to PCB, VS = 3.0 V Rev. 0 | Page 8 of 36 Document Outline Features Applications General Description Functional Block Diagram Revision History Specifications Absolute Maximum Ratings Thermal Resistance Package Information ESD Caution Pin Configuration and Function Descriptions Typical Performance Characteristics Theory of Operation Power Sequencing Power Savings Power Modes Auto Sleep Mode Standby Mode Serial Communications SPI Preventing Bus Traffic Errors I2C Interrupts DATA_READY SINGLE_TAP DOUBLE_TAP Activity Inactivity FREE_FALL Watermark Overrun FIFO Bypass Mode FIFO Mode Stream Mode Trigger Mode Retrieving Data from FIFO Self-Test Register Map Register Definitions Register 0x00—DEVID (Read Only) Register 0x1D—THRESH_TAP (Read/Write) Register 0x1E, Register 0x1F, Register 0x20—OFSX, OFSY, OFSZ (Read/Write) Register 0x21—DUR (Read/Write) Register 0x22—Latent (Read/Write) Register 0x23—Window (Read/Write) Register 0x24—THRESH_ACT (Read/Write) Register 0x25—THRESH_INACT (Read/Write) Register 0x26—TIME_INACT (Read/Write) Register 0x27—ACT_INACT_CTL (Read/Write) ACT AC/DC and INACT AC/DC Bits ACT_x Enable Bits and INACT_x Enable Bits Register 0x28—THRESH_FF (Read/Write) Register 0x29—TIME_FF (Read/Write) Register 0x2A—TAP_AXES (Read/Write) Suppress Bit TAP_x Enable Bits Register 0x2B—ACT_TAP_STATUS (Read Only) ACT_x Source and TAP_x Source Bits Asleep Bit Register 0x2C—BW_RATE (Read/Write) LOW_POWER Bit Rate Bits Register 0x2D—POWER_CTL (Read/Write) Link Bit AUTO_SLEEP Bit Measure Bit Sleep Bit Wakeup Bits Register 0x2E—INT_ENABLE (Read/Write) Register 0x2F—INT_MAP (Read/Write) Register 0x30—INT_SOURCE (Read Only) Register 0x31—DATA_FORMAT (Read/Write) SELF_TEST Bit SPI Bit INT_INVERT Bit FULL_RES Bit Justify Bit Range Bits Register 0x32 to Register 0x37—DATAX0, DATAX1, DATAY0, DATAY1, DATAZ0, DATAZ1 (Read Only) Register 0x38—FIFO_CTL (Read/Write) FIFO_MODE Bits Trigger Bit Samples Bits 0x39—FIFO_STATUS (Read Only) FIFO_TRIG Bit Entries Bits Applications Information Power Supply Decoupling Mechanical Considerations for Mounting Tap Detection Threshold Link Mode Sleep Mode vs. Low Power Mode Offset Calibration Using Self-Test Axes of Acceleration Sensitivity Layout and Design Recommendations Outline Dimensions Ordering Guide