Datasheet ADUM5400 (Analog Devices) - 10

ManufacturerAnalog Devices
DescriptionQuad-Channel Isolator with Integrated DC-to-DC Converter
Pages / Page16 / 10 — ADuM5400. Data Sheet. ) V. /DI. mA). 10mV. ( E. L P P. 5V IN/5V OUT. …
RevisionB
File Format / SizePDF / 339 Kb
Document LanguageEnglish

ADuM5400. Data Sheet. ) V. /DI. mA). 10mV. ( E. L P P. 5V IN/5V OUT. CURRE. L P. BW = 20MHz (400ns/DIV). DATA RATE (Mbps). 3.0. 2.5. mA) 2.0. ( NT. 1.5

ADuM5400 Data Sheet ) V /DI mA) 10mV ( E L P P 5V IN/5V OUT CURRE L P BW = 20MHz (400ns/DIV) DATA RATE (Mbps) 3.0 2.5 mA) 2.0 ( NT 1.5

Model Line for this Datasheet

Text Version of Document

ADuM5400 Data Sheet 20 ) V 16 /DI mA) 10mV ( ( E NT 12 L P P 5V IN/5V OUT RI CURRE UT Y 8 P L P UT UP O S 5V 4
011
0 BW = 20MHz (400ns/DIV)
013 07509-
0 5 10 15 20 25 DATA RATE (Mbps)
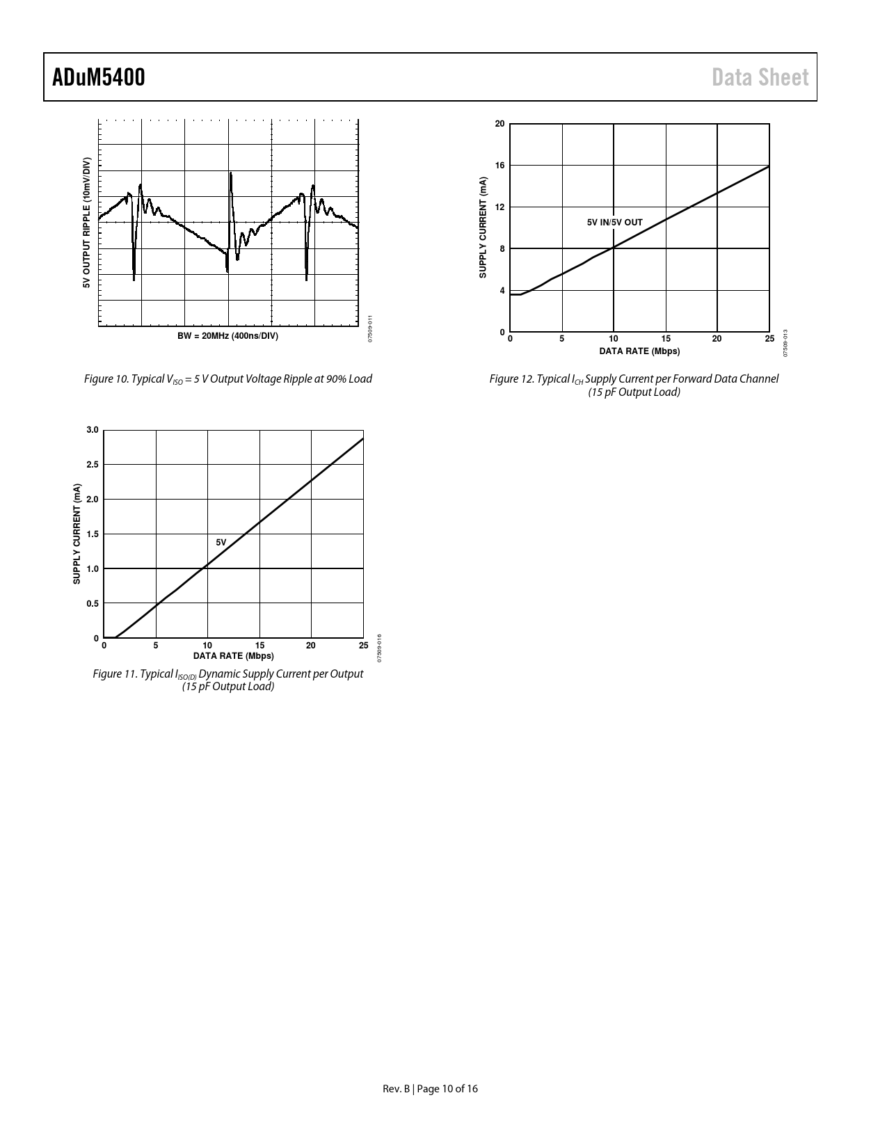
07509- Figure 10. Typical VISO = 5 V Output Voltage Ripple at 90% Load Figure 12. Typical ICH Supply Current per Forward Data Channel (15 pF Output Load)
3.0 2.5 mA) 2.0 ( NT 1.5 CURRE 5V Y L P 1.0 UP S 0.5 0 0 5 10 15 20 25
016
DATA RATE (Mbps)
07509- Figure 11. Typical IISO(D) Dynamic Supply Current per Output (15 pF Output Load) Rev. B | Page 10 of 16 Document Outline Features Applications General Description Functional Block Diagram Table of Contents Revision History Specifications Electrical Characteristics Package Characteristics Regulatory Information Insulation and Safety Related Specifications IEC 60747-5-2 (VDE 0884, Part 2):2003-01 Insulation Characteristics Recommended Operating Conditions Absolute Maximum Ratings ESD Caution Pin Configuration and Function Descriptions Typical Performance Characteristics Terminology Applications Information PCB Layout EMI Considerations Propagation Delay Parameters DC Correctness and Magnetic Field Immunity Power Consumption Power Considerations Thermal Analysis Insulation Lifetime Outline Dimensions Ordering Guide