Datasheet ADR391, ADR392, ADR395 (Analog Devices) - 8

ManufacturerAnalog Devices
Description5.0 V Micropower, Low Noise Precision Voltage Reference with Shutdown
Pages / Page20 / 8 — ADR391/ADR392/ADR395. 180. IL = 0mA TO 5mA. ) 160. VIN = 5V. IN = 3V. ( …
RevisionI
File Format / SizePDF / 435 Kb
Document LanguageEnglish

ADR391/ADR392/ADR395. 180. IL = 0mA TO 5mA. ) 160. VIN = 5V. IN = 3V. ( 140. N (. ION. G 120. AD RE. INE. L 100. –40. –10. 110. 125. TEMPERATURE (°C)

ADR391/ADR392/ADR395 180 IL = 0mA TO 5mA ) 160 VIN = 5V IN = 3V ( 140 N ( ION G 120 AD RE INE L 100 –40 –10 110 125 TEMPERATURE (°C)

Model Line for this Datasheet

ADR392

Text Version of Document

ADR391/ADR392/ADR395 180 25 IL = 0mA TO 5mA ) 160 20 A ) /m VIN = 5V /V m m p V p p IN = 3V p ( 140 N ( 15 ION IO T T A A UL UL G 120 G 10 RE AD RE INE O L L 100 5
16 -0 419
80
2
0
00
–40 –10 20 50 80 110 125
01
–40 –10 20 50 80 110 125
9-
TEMPERATURE (°C)
41
TEMPERATURE (°C)
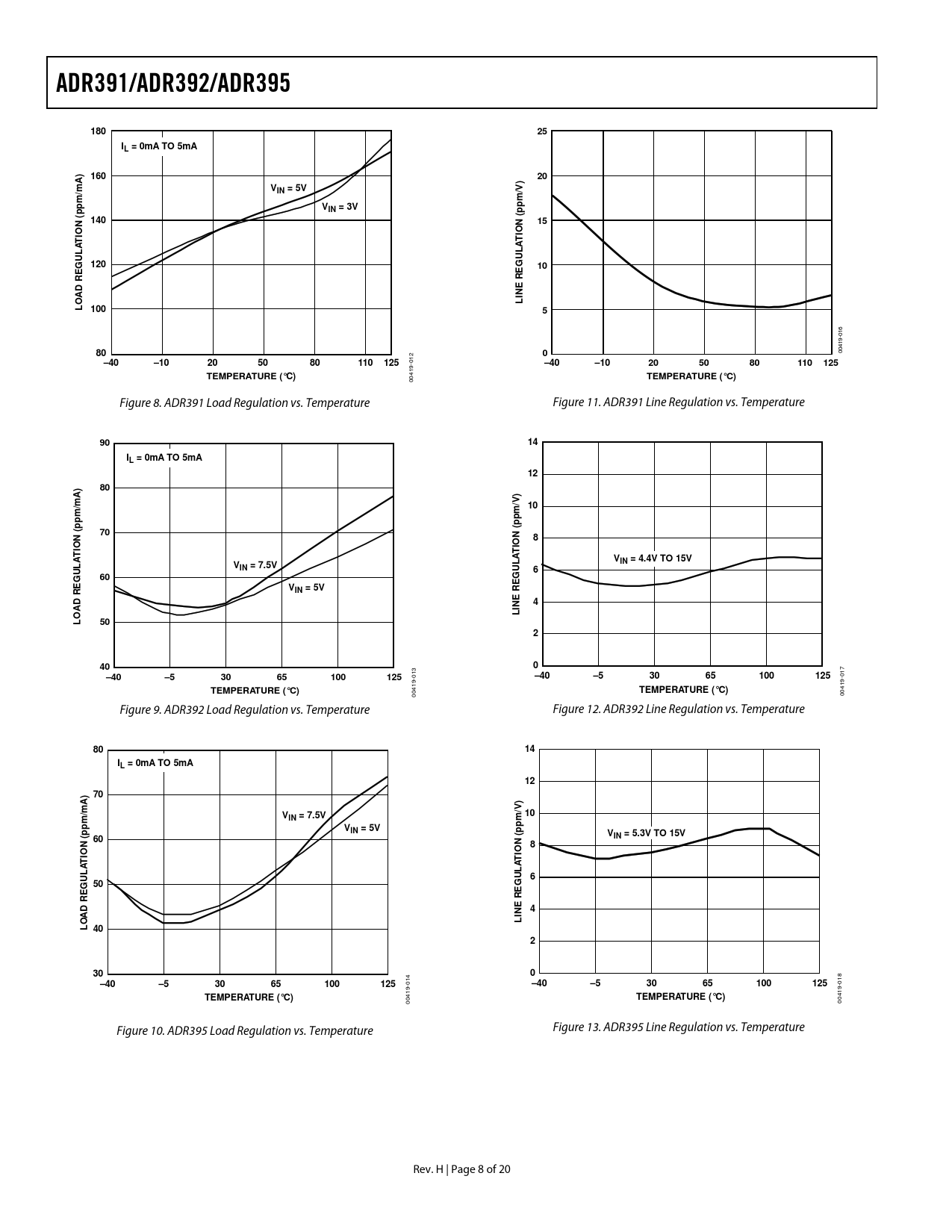
00 Figure 8. ADR391 Load Regulation vs. Temperature Figure 11. ADR391 Line Regulation vs. Temperature
90 14 IL = 0mA TO 5mA 12 ) 80 A ) /m /V 10 m pm p p p ( ( 70 N N 8 O IO T TI A A VIN = 4.4V TO 15V L V L IN = 7.5V U U 6 G 60 G E VIN = 5V R RE D 4 A INE L LO 50 2 40 0
13 17
–40 –5 30 65 100 125
0
–40 –5 30 65 100 125
0 9- 9-
TEMPERATURE (°C)
41
TEMPERATURE (°C)
041 00 0 Figure 9. ADR392 Load Regulation vs. Temperature Figure 12. ADR392 Line Regulation vs. Temperature
80 14 IL = 0mA TO 5mA 12 ) 70 A ) /m /V V 10 m IN = 7.5V m p p V p IN = 5V p V ( 60 ( IN = 5.3V TO 15V 8 ON ON TI TI A A L UL 6 G 50 GU E R E 4 AD RE O LIN L 40 2 30 0
8 14
–40 –5 30 65 100 125
0
–40 –5 30 65 100 125
01 9- 9-
TEMPERATURE (°C)
41
TEMPERATURE (°C)
41 00 00 Figure 10. ADR395 Load Regulation vs. Temperature Figure 13. ADR395 Line Regulation vs. Temperature Rev. H | Page 8 of 20 Document Outline FEATURES APPLICATIONS GENERAL DESCRIPTION PIN CONFIGURATION TABLE OF CONTENTS REVISION HISTORY SPECIFICATIONS ADR391 ELECTRICAL CHARACTERISTICS ADR392 ELECTRICAL CHARACTERISTICS ADR395 ELECTRICAL CHARACTERISTICS ABSOLUTE MAXIMUM RATINGS THERMAL RESISTANCE ESD CAUTION TYPICAL PERFORMANCE CHARACTERISTICS TERMINOLOGY THEORY OF OPERATION DEVICE POWER DISSIPATION CONSIDERATIONS SHUTDOWN MODE OPERATION APPLICATIONS INFORMATION BASIC VOLTAGE REFERENCE CONNECTION Stacking Reference ICs for Arbitrary Outputs A Negative Precision Reference without Precision Resistors General-Purpose Current Source High Power Performance with Current Limit CAPACITORS Input Capacitor Output Capacitor OUTLINE DIMENSIONS ORDERING GUIDE