Datasheet AD8304 (Analog Devices) - 6

ManufacturerAnalog Devices
Description160 dB Range (100 pA –10 mA) Logarithmic Converter
Pages / Page20 / 6 — AD8304. 2.0. TA = 25. 1.5. MEAN + 3. 1.0. 0.5. DRIFT – mV. –10. OR – dB …
RevisionA
File Format / SizePDF / 587 Kb
Document LanguageEnglish

AD8304. 2.0. TA = 25. 1.5. MEAN + 3. 1.0. 0.5. DRIFT – mV. –10. OR – dB (10mV/dB). –0.5. MEAN – 3. REFV. ERR. –15. –1.0. –20. –1.5. –25. –2.0. –30. 100p. 10n. 100n

AD8304 2.0 TA = 25 1.5 MEAN + 3 1.0 0.5 DRIFT – mV –10 OR – dB (10mV/dB) –0.5 MEAN – 3 REFV ERR –15 –1.0 –20 –1.5 –25 –2.0 –30 100p 10n 100n

Model Line for this Datasheet

Text Version of Document

AD8304 2.0 20 TA = 25 C 15 1.5 MEAN + 3 10 1.0 5 0.5 MEAN + 3 0 0 –5 DRIFT – mV –10 OR – dB (10mV/dB) –0.5 MEAN – 3 REFV ERR –15 –1.0 MEAN – 3 –20 –1.5 –25 –2.0 –30 100p 1n 10n 100n 1 10 100 1m 10m –40 –30 –20 –10 0 10 20 30 40 50 60 70 80 90 INPUT – A TEMPERATURE – C
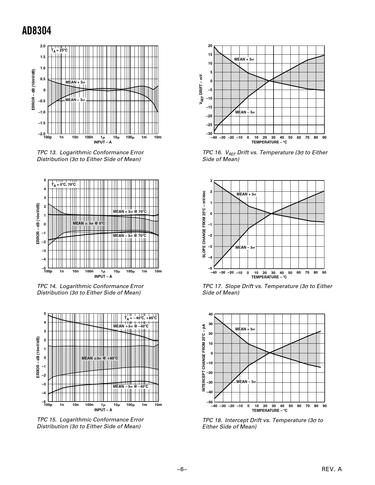
TPC 13. Logarithmic Conformance Error TPC 16. VREF Drift vs. Temperature (3σ to Either Distribution (3σ to Either Side of Mean) Side of Mean)
5 3 TA = 0 C, 70 C 4 2 MEAN + 3 3 1 2 MEAN + 3 @ 70 C C – mV/dec 0 1 OM 25 0 MEAN 3 @ 0 C –1 –1 OR – dB (10mV/dB) MEAN – 3 @ 70 C –2 ERR –2 –3 MEAN – 3 –3 SLOPE CHANGE FR –4 –4 –5 –5 100p 1n 10n 100n 1 10 100 1m 10m –40 –30 –20 –10 0 10 20 30 40 50 60 70 80 90 INPUT – A TEMPERATURE – C
TPC 14. Logarithmic Conformance Error TPC 17. Slope Drift vs. Temperature (3σ to Either Distribution (3σ to Either Side of Mean) Side of Mean)
5 40 TA = 40 C, 85 C 4 30 MEAN 3 @ 40 C MEAN + 3 3 C – pA 20 2 10 OM 25 1 0 0 MEAN 3 @ 85 C –10 –1 OR – dB (10mV/dB) –20 ERR –2 MEAN – 3 –3 –30 MEAN 3 @ 40 C INTERCEPT CHANGE FR –4 –40 –5 –50 100p 1n 10n 100n 1 10 100 1m 10m –40 –30 –20 –10 0 10 20 30 40 50 60 70 80 90 INPUT – A TEMPERATURE – C
TPC 15. Logarithmic Conformance Error TPC 18. Intercept Drift vs. Temperature (3σ to Distribution (3σ to Either Side of Mean) Either Side of Mean) –6– REV. A Document Outline FEATURES APPLICATIONS PRODUCT DESCRIPTION FUNCTIONAL BLOCK DIAGRAM SPECIFICATIONS ABSOLUTE MAXIMUM RATINGS PIN CONFIGURATION PIN FUNCTION DESCRIPTIONS ORDERING GUIDE Typical Performance Characteristics BASIC CONCEPTS Optical Measurements Decibel Scaling GENERAL STRUCTURE Bandwidth and Noise Considerations Chip Enable USING THE AD8304 Slope and Intercept Adjustments Low Supply Slope and Intercept Adjustment Using the Adaptive Bias Changing the Voltage at the Summing Node Implementing Low-Pass Filters Operation in Comparator Modes Using a Negative Supply APPLICATIONS Summing Node at Ground and Voltage Inputs Providing Negative Outputs and Rescaling Inverting the Slope Programmable Level Comparator with Hysteresis Programmable Multidecade Current Source Characterization Setups and Methods Evaluation Board OUTLINE DIMENSIONS Revision History