Datasheet OP490 (Analog Devices) - 7
| Manufacturer | Analog Devices |
| Description | Low Voltage, Micropower, Quad Operational Amplifier |
| Pages / Page | 16 / 7 — OP490. 120. S = ±15V. A = 25°C. TA = 25°C. 100. NEGATIVE SUPPLY. N (. d … |
| Revision | E |
| File Format / Size | PDF / 225 Kb |
| Document Language | English |
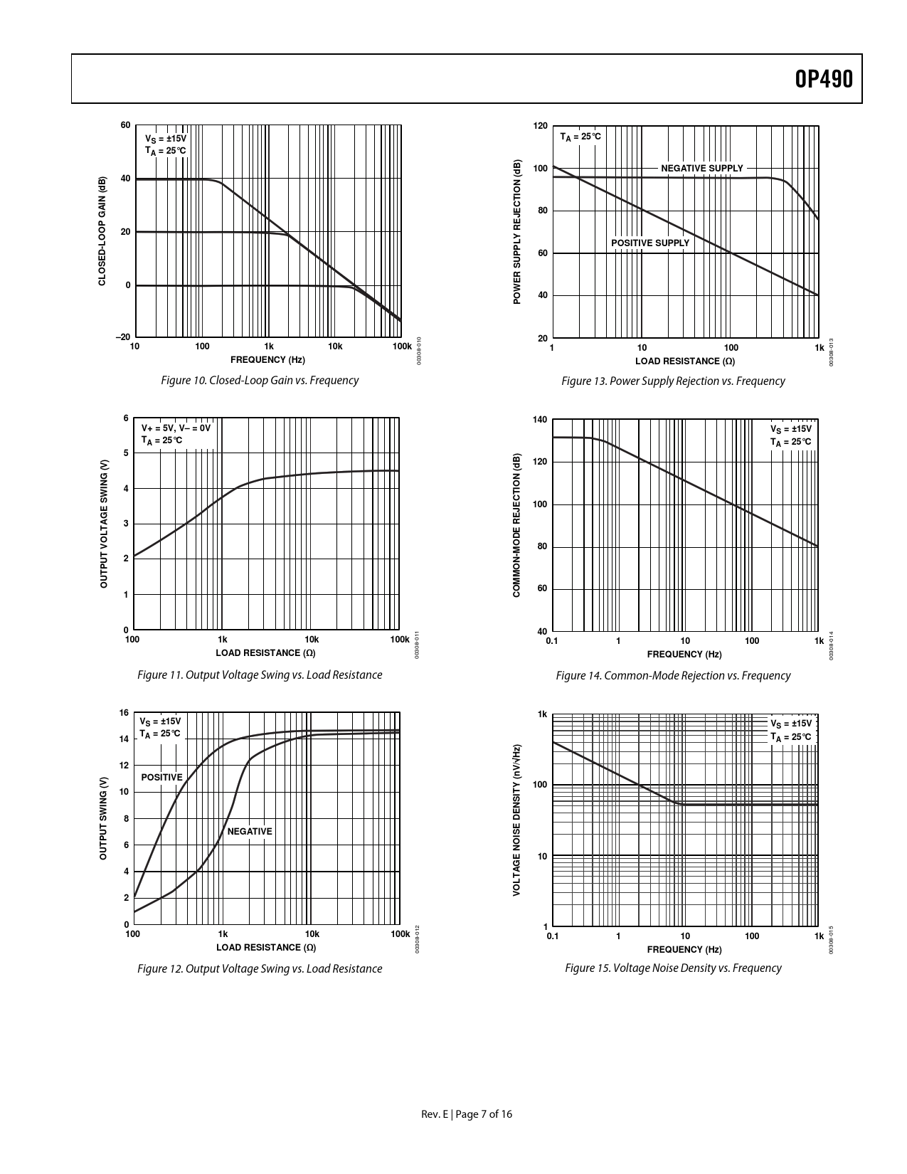
OP490. 120. S = ±15V. A = 25°C. TA = 25°C. 100. NEGATIVE SUPPLY. N (. d (. Y L. POSITIVE SUPPLY. OS L. R S. W O. –20. 10k. 100k. FREQUENCY (Hz)

Model Line for this Datasheet
Text Version of Document
OP490 60 120 V T S = ±15V A = 25°C TA = 25°C B) 100 d NEGATIVE SUPPLY ) 40 B N ( d ( IO IN T A C 80 G JE P 20 RE OO Y L -L POSITIVE SUPPLY P D P 60 E U OS L R S C E 0 W O 40 P –20
10
20 10 100 1k 10k 100k
0 13 0 8-
1 10 100 1k
8- 30
FREQUENCY (Hz)
30 00
LOAD RESISTANCE (Ω)
00 Figure 10. Closed-Loop Gain vs. Frequency Figure 13. Power Supply Rejection vs. Frequency
6 140 V+ = 5V, V– = 0V VS = ±15V TA = 25°C TA = 25°C 5 ) B) V 120 ( (d G N IN 4 IO SW CT 100 E JE G A 3 T RE L O DE O V 80 T -M 2 U N P O T U M O M 60 1 CO 0
1
40
1
100 1k 10k 100k
0 14 0 8-
0.1 1 10 100 1k
8-
LOAD RESISTANCE (Ω)
30 30 00
FREQUENCY (Hz)
00 Figure 11. Output Voltage Swing vs. Load Resistance Figure 14. Common-Mode Rejection vs. Frequency
16 1k VS = ±15V VS = ±15V T 14 A = 25°C TA = 25°C ) Hz 12 / V ) n POSITIVE ( (V Y 100 10 G IT IN NS W E 8 S D T E U NEGATIVE P IS T 6 NO OU E 10 4 AG T L O 2 V 0
2
1
5
100 1k 10k 100k
01 01 8-
0.1 1 10 100 1k
8-
LOAD RESISTANCE (Ω)
30 30 00
FREQUENCY (Hz)
00 Figure 12. Output Voltage Swing vs. Load Resistance Figure 15. Voltage Noise Density vs. Frequency Rev. E | Page 7 of 16 Document Outline FEATURES GENERAL DESCRIPTION FUNCTIONAL BLOCK DIAGRAMS TABLE OF CONTENTS REVISION HISTORY SPECIFICATIONS ELECTRICAL CHARACTERISTICS ABSOLUTE MAXIMUM RATINGS THERMAL RESISTANCE ESD CAUTION TYPICAL PERFORMANCE CHARACTERISTICS APPLICATIONS INFORMATION BATTERY-POWERED APPLICATIONS SINGLE-SUPPLY OUTPUT VOLTAGE RANGE INPUT VOLTAGE PROTECTION MICROPOWER VOLTAGE-CONTROLLED OSCILLATOR MICROPOWER SINGLE-SUPPLY QUAD VOLTAGE-OUTPUT 8-BIT DAC HIGH OUTPUT AMPLIFIER SINGLE-SUPPLY MICROPOWER QUAD PROGRAMMABLE GAIN AMPLIFIER OUTLINE DIMENSIONS ORDERING GUIDE