Datasheet ADP320 (Analog Devices) - 6

ManufacturerAnalog Devices
DescriptionTriple, 200 mA, Low Noise, High PSRR Voltage Regulator
Pages / Page21 / 6 — ADP320. Data Sheet. PIN CONFIGURATIONS AND FUNCTION DESCRIPTIONS. EN1 1. …
RevisionC
File Format / SizePDF / 1.1 Mb
Document LanguageEnglish

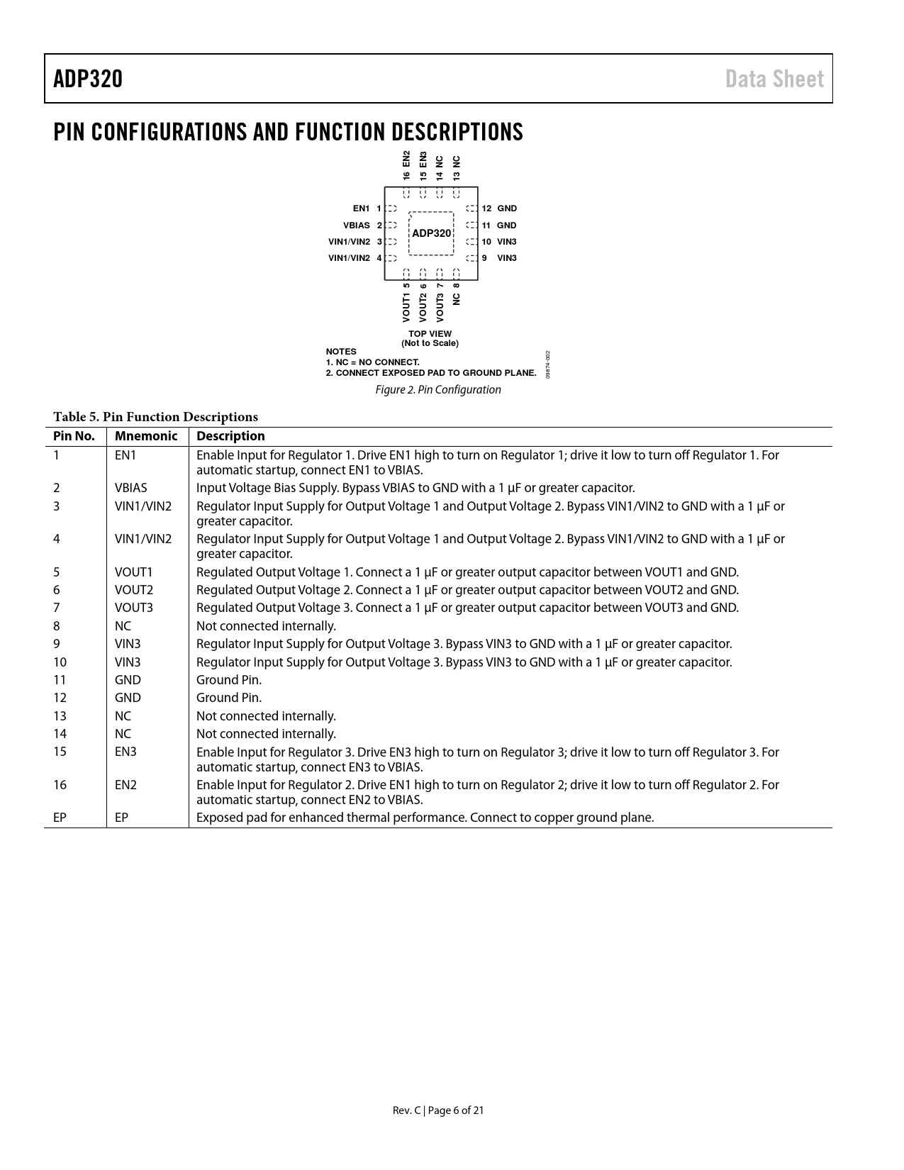
ADP320. Data Sheet. PIN CONFIGURATIONS AND FUNCTION DESCRIPTIONS. EN1 1. 12 GND. VBIAS 2. 11 GND. VIN1/VIN2 3. 10 VIN3. VIN1/VIN2 4. VIN3

ADP320 Data Sheet PIN CONFIGURATIONS AND FUNCTION DESCRIPTIONS EN1 1 12 GND VBIAS 2 11 GND VIN1/VIN2 3 10 VIN3 VIN1/VIN2 4 VIN3

Model Line for this Datasheet

Text Version of Document

ADP320 Data Sheet PIN CONFIGURATIONS AND FUNCTION DESCRIPTIONS 2 3 N N C C E E N N 6 5 4 3 1 1 1 1 EN1 1 12 GND VBIAS 2 11 GND ADP320 VIN1/VIN2 3 10 VIN3 VIN1/VIN2 4 9 VIN3 5 6 7 8 1 2 3 T T T C U U U N O O O V V V TOP VIEW (Not to Scale) NOTES
2
1. NC = NO CONNECT.
00 4-
2. CONNECT EXPOSED PAD TO GROUND PLANE.
87 09 Figure 2. Pin Configuration
Table 5. Pin Function Descriptions Pin No. Mnemonic Description
1 EN1 Enable Input for Regulator 1. Drive EN1 high to turn on Regulator 1; drive it low to turn off Regulator 1. For automatic startup, connect EN1 to VBIAS. 2 VBIAS Input Voltage Bias Supply. Bypass VBIAS to GND with a 1 μF or greater capacitor. 3 VIN1/VIN2 Regulator Input Supply for Output Voltage 1 and Output Voltage 2. Bypass VIN1/VIN2 to GND with a 1 μF or greater capacitor. 4 VIN1/VIN2 Regulator Input Supply for Output Voltage 1 and Output Voltage 2. Bypass VIN1/VIN2 to GND with a 1 μF or greater capacitor. 5 VOUT1 Regulated Output Voltage 1. Connect a 1 μF or greater output capacitor between VOUT1 and GND. 6 VOUT2 Regulated Output Voltage 2. Connect a 1 μF or greater output capacitor between VOUT2 and GND. 7 VOUT3 Regulated Output Voltage 3. Connect a 1 μF or greater output capacitor between VOUT3 and GND. 8 NC Not connected internally. 9 VIN3 Regulator Input Supply for Output Voltage 3. Bypass VIN3 to GND with a 1 μF or greater capacitor. 10 VIN3 Regulator Input Supply for Output Voltage 3. Bypass VIN3 to GND with a 1 μF or greater capacitor. 11 GND Ground Pin. 12 GND Ground Pin. 13 NC Not connected internally. 14 NC Not connected internally. 15 EN3 Enable Input for Regulator 3. Drive EN3 high to turn on Regulator 3; drive it low to turn off Regulator 3. For automatic startup, connect EN3 to VBIAS. 16 EN2 Enable Input for Regulator 2. Drive EN1 high to turn on Regulator 2; drive it low to turn off Regulator 2. For automatic startup, connect EN2 to VBIAS. EP EP Exposed pad for enhanced thermal performance. Connect to copper ground plane. Rev. C | Page 6 of 21 Document Outline Features Applications Typical Application Circuits General Description Revision History Specifications Input and Output Capacitor, Recommended Specifications Absolute Maximum Ratings THERMAL DATA Thermal Resistance ESD Caution Pin Configurations and Function Descriptions Typical Performance Characteristics Theory of Operation Applications Information ADIsimPower Design Tool Capacitor Selection Output Capacitor Input Bypass Capacitor Input and Output Capacitor Properties Undervoltage Lockout Enable Feature Current-Limit and Thermal Overload Protection Thermal Considerations Printed Circuit Board Layout Considerations Outline Dimensions Ordering Guide