Datasheet T2035H-8I (STMicroelectronics) - 6
| Manufacturer | STMicroelectronics |
| Description | 20 A - 800 V - 150°C H-series Triac in TO-220AB insulated |
| Pages / Page | 11 / 6 — T2035H-8I. Characteristics (curves) |
| File Format / Size | PDF / 272 Kb |
| Document Language | English |
T2035H-8I. Characteristics (curves)

Model Line for this Datasheet
Text Version of Document
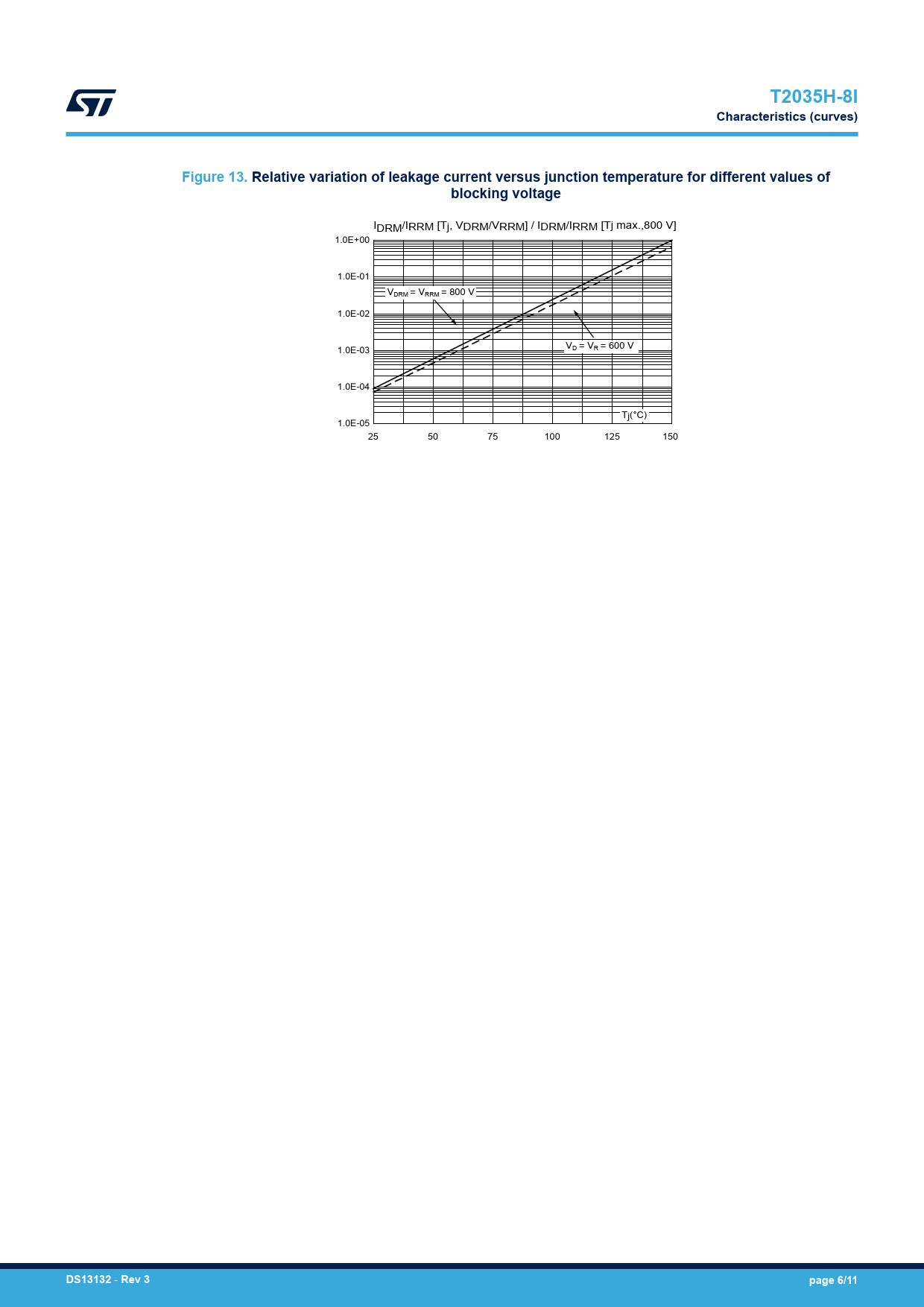
T2035H-8I Characteristics (curves) Figure 13. Relative variation of leakage current versus junction temperature for different values of blocking voltage
IDRM/IRRM [Tj, VDRM/VRRM] / IDRM/IRRM [Tj max.,800 V] 1.0E+00 1.0E-01 VDRM = VRRM = 800 V 1.0E-02 1.0E-03 VD = VR = 600 V 1.0E-04 Tj(°C) 1.0E-05 25 50 75 100 125 150
DS13132
-
Rev 3 page 6/11
Document Outline 1 Characteristics 1.1 Characteristics (curves) 2 Package information 2.1 TO-220AB insulated package information 3 Ordering information Revision history