Datasheet ADL5321 (Analog Devices) - 4
| Manufacturer | Analog Devices | 
| Description | 2.3 GHz TO 4.0 GHz ¼ Watt RF Driver Amplifier | 
| Pages / Page | 16 / 4 — ADL5321. Data Sheet. TYPICAL SCATTERING PARAMETERS. Table 2. Frequency. … | 
| Revision | D | 
| File Format / Size | PDF / 464 Kb | 
| Document Language | English | 
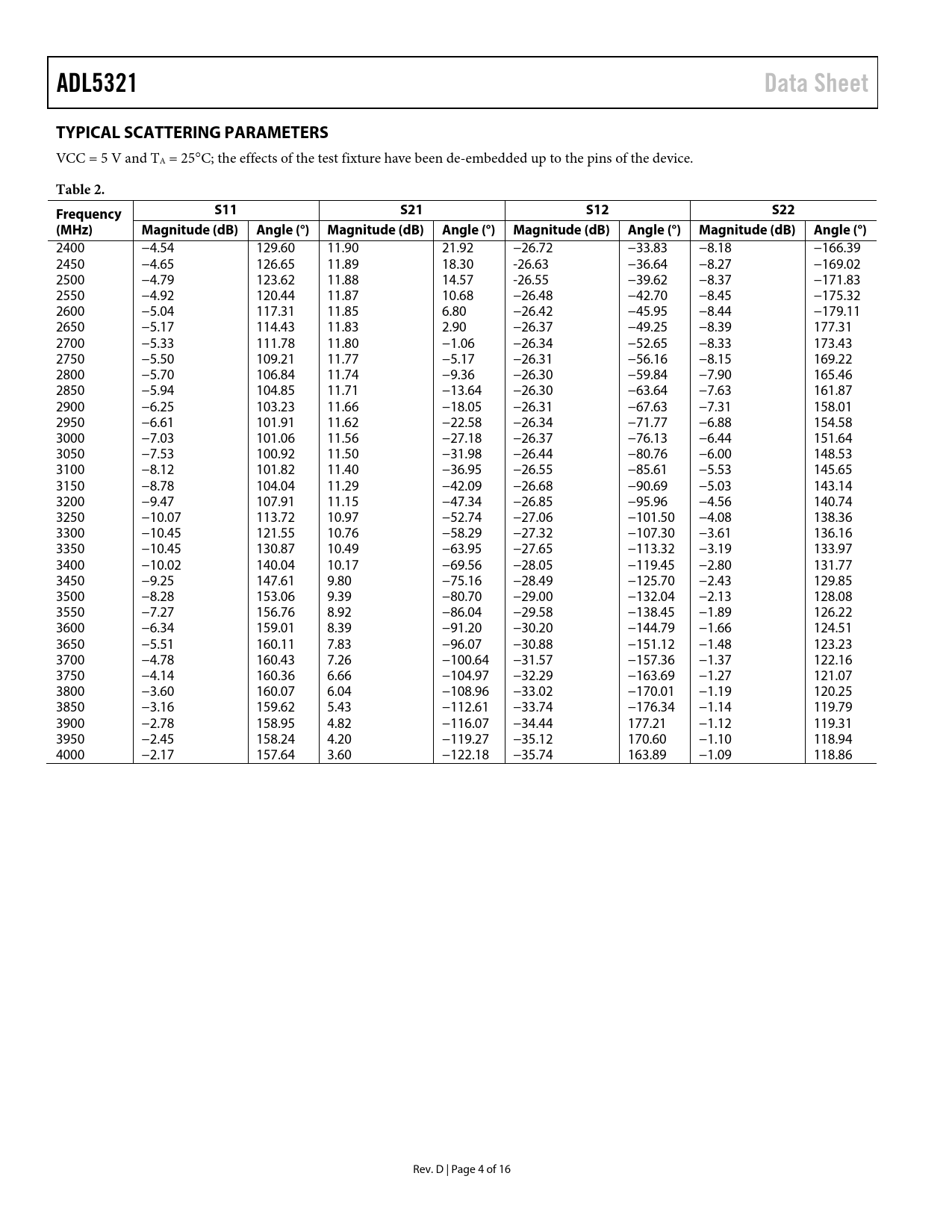
ADL5321. Data Sheet. TYPICAL SCATTERING PARAMETERS. Table 2. Frequency. S11. S21. S12. S22. (MHz)

Model Line for this Datasheet
Text Version of Document
ADL5321 Data Sheet TYPICAL SCATTERING PARAMETERS
VCC = 5 V and TA = 25°C; the effects of the test fixture have been de-embedded up to the pins of the device.
Table 2. Frequency S11 S21 S12 S22 (MHz) Magnitude (dB) Angle (°) Magnitude (dB) Angle (°) Magnitude (dB) Angle (°) Magnitude (dB) Angle (°)
2400 −4.54 129.60 11.90 21.92 −26.72 −33.83 −8.18 −166.39 2450 −4.65 126.65 11.89 18.30 -26.63 −36.64 −8.27 −169.02 2500 −4.79 123.62 11.88 14.57 -26.55 −39.62 −8.37 −171.83 2550 −4.92 120.44 11.87 10.68 −26.48 −42.70 −8.45 −175.32 2600 −5.04 117.31 11.85 6.80 −26.42 −45.95 −8.44 −179.11 2650 −5.17 114.43 11.83 2.90 −26.37 −49.25 −8.39 177.31 2700 −5.33 111.78 11.80 −1.06 −26.34 −52.65 −8.33 173.43 2750 −5.50 109.21 11.77 −5.17 −26.31 −56.16 −8.15 169.22 2800 −5.70 106.84 11.74 −9.36 −26.30 −59.84 −7.90 165.46 2850 −5.94 104.85 11.71 −13.64 −26.30 −63.64 −7.63 161.87 2900 −6.25 103.23 11.66 −18.05 −26.31 −67.63 −7.31 158.01 2950 −6.61 101.91 11.62 −22.58 −26.34 −71.77 −6.88 154.58 3000 −7.03 101.06 11.56 −27.18 −26.37 −76.13 −6.44 151.64 3050 −7.53 100.92 11.50 −31.98 −26.44 −80.76 −6.00 148.53 3100 −8.12 101.82 11.40 −36.95 −26.55 −85.61 −5.53 145.65 3150 −8.78 104.04 11.29 −42.09 −26.68 −90.69 −5.03 143.14 3200 −9.47 107.91 11.15 −47.34 −26.85 −95.96 −4.56 140.74 3250 −10.07 113.72 10.97 −52.74 −27.06 −101.50 −4.08 138.36 3300 −10.45 121.55 10.76 −58.29 −27.32 −107.30 −3.61 136.16 3350 −10.45 130.87 10.49 −63.95 −27.65 −113.32 −3.19 133.97 3400 −10.02 140.04 10.17 −69.56 −28.05 −119.45 −2.80 131.77 3450 −9.25 147.61 9.80 −75.16 −28.49 −125.70 −2.43 129.85 3500 −8.28 153.06 9.39 −80.70 −29.00 −132.04 −2.13 128.08 3550 −7.27 156.76 8.92 −86.04 −29.58 −138.45 −1.89 126.22 3600 −6.34 159.01 8.39 −91.20 −30.20 −144.79 −1.66 124.51 3650 −5.51 160.11 7.83 −96.07 −30.88 −151.12 −1.48 123.23 3700 −4.78 160.43 7.26 −100.64 −31.57 −157.36 −1.37 122.16 3750 −4.14 160.36 6.66 −104.97 −32.29 −163.69 −1.27 121.07 3800 −3.60 160.07 6.04 −108.96 −33.02 −170.01 −1.19 120.25 3850 −3.16 159.62 5.43 −112.61 −33.74 −176.34 −1.14 119.79 3900 −2.78 158.95 4.82 −116.07 −34.44 177.21 −1.12 119.31 3950 −2.45 158.24 4.20 −119.27 −35.12 170.60 −1.10 118.94 4000 −2.17 157.64 3.60 −122.18 −35.74 163.89 −1.09 118.86 Rev. D | Page 4 of 16 Document Outline Features Applications Functional Block Diagram General Description Table of Contents Revision History Specifications Typical Scattering Parameters Absolute Maximum Ratings Thermal Resistance ESD Caution Pin Configuration and Function Descriptions Typical Performance Characteristics High Temperature and 3.3 V Operation Basic Layout Connections Soldering Information and Recommended PCB Land Pattern Matching Procedure WiMax Operation Evaluation Board Outline Dimensions Ordering Guide