Datasheet UF3SC065030B7S (UnitedSiC) - 5

ManufacturerUnitedSiC
Description650V-27mW SiC FET
Pages / Page10 / 5 — Typical. Performance. Diagrams. 200. 200. ). 150. ). 150. A(. A(. I. ,. …
File Format / SizePDF / 440 Kb
Document LanguageEnglish

Typical. Performance. Diagrams. 200. 200. ). 150. ). 150. A(. A(. I. ,. D. I. ,. D. nte. nt. r. 100. e. r. Vgs. =. 15V. r. 100. r. Vgs. =. 15V. Cu. Vgs. =. 10V. Cu. n. n. Vgs. =. 10V. ai. Vgs. =. 8V. r. air. Vgs. =. 8V. D

Typical Performance Diagrams 200 200 ) 150 ) 150 A( A( I , D I , D nte nt r 100 e r Vgs = 15V r 100 r Vgs = 15V Cu Vgs = 10V Cu n n Vgs = 10V ai Vgs = 8V r air Vgs = 8V D

Model Line for this Datasheet

Text Version of Document

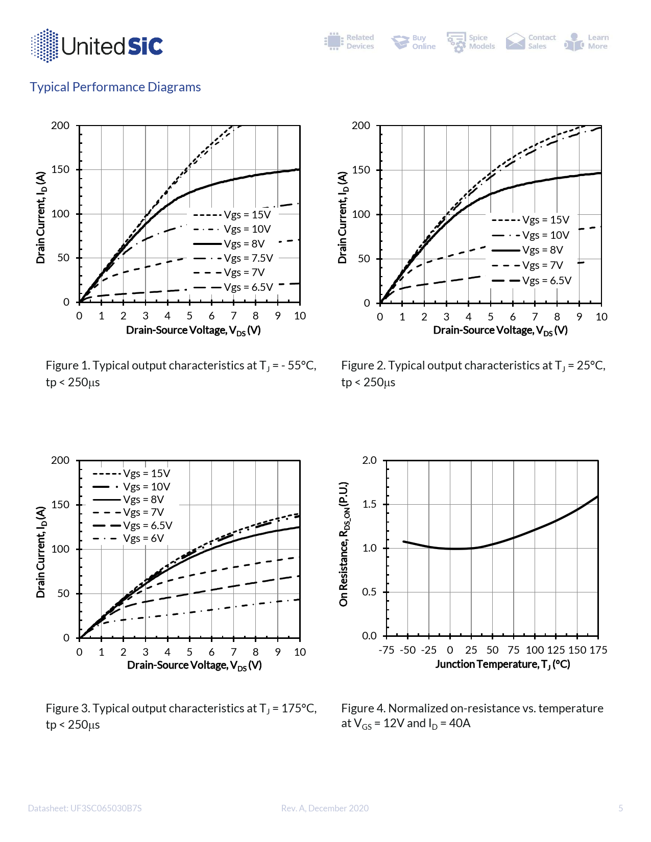
Typical Performance Diagrams 200 200 ) 150 ) 150 A( A( I , D I , D nte nt r 100 e r Vgs = 15V r 100 r Vgs = 15V Cu Vgs = 10V Cu n n Vgs = 10V ai Vgs = 8V r air Vgs = 8V D 50 Vgs = 7.5V D 50 Vgs = 7V Vgs = 7V Vgs = 6.5V Vgs = 6.5V 0 0 0 1 2 3 4 5 6 7 8 9 10 0 1 2 3 4 5 6 7 8 9 10 Drain-Source Voltage, VDS (V) Drain-Source Voltage, VDS (V) Figure 1. Typical output characteristics at TJ = - 55°C, Figure 2. Typical output characteristics at TJ = 25°C, tp < 250ms tp < 250ms 200 2.0 Vgs = 15V Vgs = 10V ). U. ) 150 Vgs = 8V P( 1.5 A( Vgs = 7V N _O I S , D Vgs = 6.5V nt Vgs = 6V R D , er e 100 r c 1.0 an Cu st n si ai e r R D 50 0.5 On 0 0.0 0 1 2 3 4 5 6 7 8 9 10 -75 -50 -25 0 25 50 75 100 125 150 175 Drain-Source Voltage, V Junction Temperature, T DS (V) J (°C) Figure 3. Typical output characteristics at TJ = 175°C, Figure 4. Normalized on-resistance vs. temperature tp < 250ms at VGS = 12V and ID = 40A Datasheet: UF3SC065030B7S Rev. A, December 2020 5