Datasheet UF3SC065030B7S (UnitedSiC) - 7

ManufacturerUnitedSiC
Description650V-27mW SiC FET
Pages / Page10 / 7 — 0. 0. Vgs. =. -5V. Vgs. =. -. 5V. Vgs. =. 0V. Vgs. =. 0V. ). -25. ). -25. …
File Format / SizePDF / 440 Kb
Document LanguageEnglish

0. 0. Vgs. =. -5V. Vgs. =. -. 5V. Vgs. =. 0V. Vgs. =. 0V. ). -25. ). -25. A. Vgs. =. 5V. (. A(. Vgs. =. 5V. I. ,. D. Vgs. =. 8V. I. ,. D. Vgs. =. 8V. nte. nt. r. -50. e. r. r. -50. r. Cu. Cu. n. n. air. air. D. -75. D. -75. -100. -100. -4. -3

0 0 Vgs = -5V Vgs = - 5V Vgs = 0V Vgs = 0V ) -25 ) -25 A Vgs = 5V ( A( Vgs = 5V I , D Vgs = 8V I , D Vgs = 8V nte nt r -50 e r r -50 r Cu Cu n n air air D -75 D -75 -100 -100 -4 -3

Model Line for this Datasheet

Text Version of Document

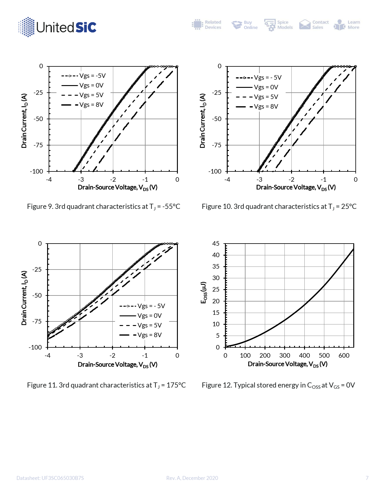
0 0 Vgs = -5V Vgs = - 5V Vgs = 0V Vgs = 0V ) -25 ) -25 A Vgs = 5V ( A( Vgs = 5V I , D Vgs = 8V I , D Vgs = 8V nte nt r -50 e r r -50 r Cu Cu n n air air D -75 D -75 -100 -100 -4 -3 -2 -1 0 -4 -3 -2 -1 0 Drain-Source Voltage, VDS (V) Drain-Source Voltage, VDS (V) Figure 9. 3rd quadrant characteristics at TJ = -55°C Figure 10. 3rd quadrant characteristics at TJ = 25°C 0 45 40 35 ) -25 A( 30 I , D J) nt m( 25 er -50 S r S E O 20 Cu Vgs = - 5V n ai 15 r Vgs = 0V -75 D Vgs = 5V 10 Vgs = 8V 5 -100 0 -4 -3 -2 -1 0 0 100 200 300 400 500 600 Drain-Source Voltage, V Drain-Source Voltage, V DS (V) DS (V) Figure 11. 3rd quadrant characteristics at TJ = 175°C Figure 12. Typical stored energy in COSS at VGS = 0V Datasheet: UF3SC065030B7S Rev. A, December 2020 7