Datasheet ADR380, ADR381 (Analog Devices) - 7

ManufacturerAnalog Devices
Description2.048 V and 2.5 V Bandgap Voltage References
Pages / Page16 / 7 — ILOAD = 0mA TO 5mA. VIN = 2.8V TO 15V. IN = 3V. N (. VIN = 5V. AD RE. …
RevisionC
File Format / SizePDF / 246 Kb
Document LanguageEnglish

ILOAD = 0mA TO 5mA. VIN = 2.8V TO 15V. IN = 3V. N (. VIN = 5V. AD RE. INE. –40. –15. TEMPERATURE (°C). 0.8. ILOAD = 5mA. ) V. 0.6. IN = 3.5V. A T

ILOAD = 0mA TO 5mA VIN = 2.8V TO 15V IN = 3V N ( VIN = 5V AD RE INE –40 –15 TEMPERATURE (°C) 0.8 ILOAD = 5mA ) V 0.6 IN = 3.5V A T

Model Line for this Datasheet

Text Version of Document

ADR380/ADR381
70 5 ILOAD = 0mA TO 5mA VIN = 2.8V TO 15V 60 4 A) ) /m /V 50 m V m IN = 3V p p p p N ( N ( 3 40 IO IO AT AT UL 30 UL G G 2 VIN = 5V RE AD RE 20 INE O L L 1 10 0
8
0
11 0
–40 –15 10 35 60 85
00 5-
–40 –15 10 35 60 85
5-
TEMPERATURE (°C)
17
TEMPERATURE (°C)
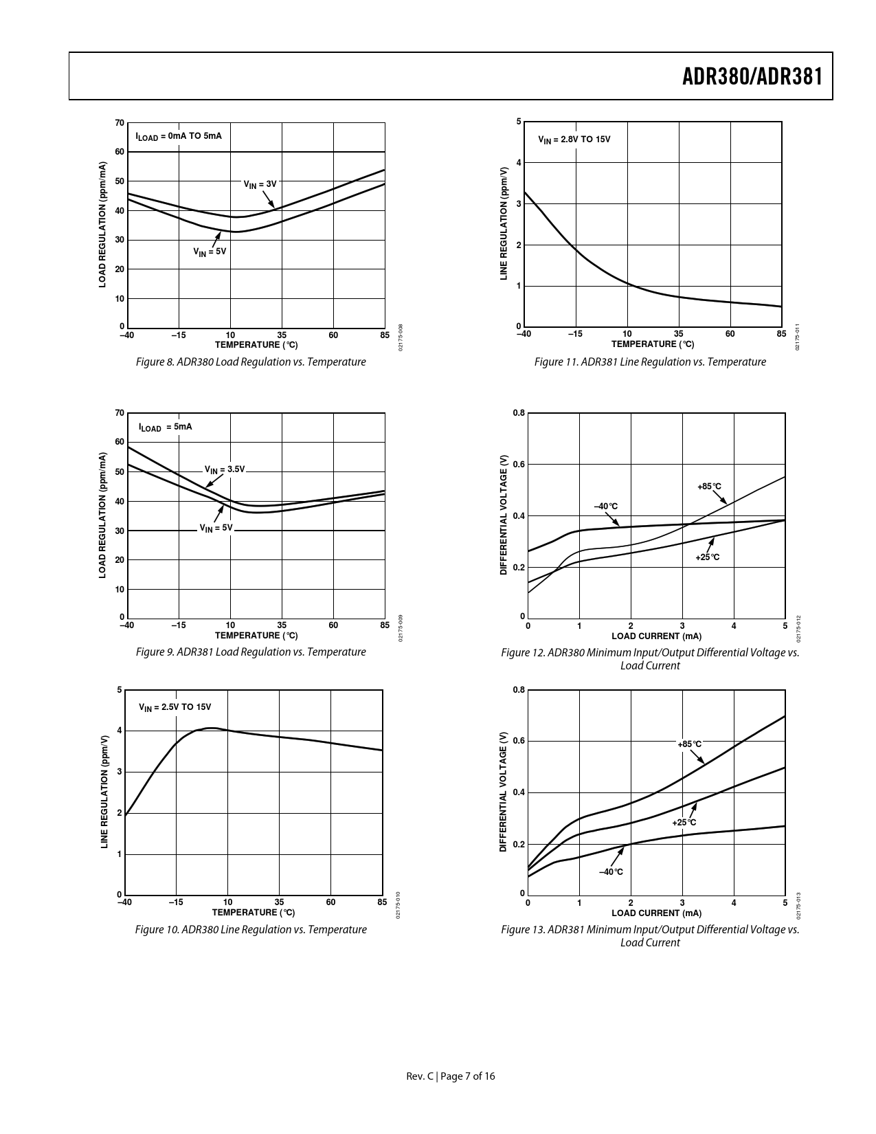
17 02 02 Figure 8. ADR380 Load Regulation vs. Temperature Figure 11. ADR381 Line Regulation vs. Temperature
70 0.8 ILOAD = 5mA 60 A) ) V /m 0.6 V ( IN = 3.5V E m 50 p G p A T +85°C N ( L 40 O IO –40°C AT L V 0.4 IA UL 30 VIN = 5V T G N E R +25°C AD RE 20 O IFFE 0.2 L D 10 0
9
0
12
–40 –15 10 35 60 85
00 5-
0 1 2 3 4 5
-0 75
TEMPERATURE (°C)
17
LOAD CURRENT (mA)
02 21 0 Figure 9. ADR381 Load Regulation vs. Temperature Figure 12. ADR380 Minimum Input/Output Differential Voltage vs. Load Current
5 0.8 VIN = 2.5V TO 15V 4 ) ) V /V ( 0.6 +85°C m E p p AG T N ( 3 L IO O V AT 0.4 UL IAL G 2 NT RE RE +25°C E F INE F L 0.2 DI 1 –40°C 0
10
0
13
–40 –15 10 35 60 85
0 5-
0 1 2 3 4 5
-0 75
TEMPERATURE (°C)
17
LOAD CURRENT (mA)
02 21 0 Figure 10. ADR380 Line Regulation vs. Temperature Figure 13. ADR381 Minimum Input/Output Differential Voltage vs. Load Current Rev. C | Page 7 of 16 Document Outline FEATURES APPLICATIONS GENERAL DESCRIPTION PIN CONFIGURATION TABLE OF CONTENTS REVISION HISTORY SPECIFICATIONS ADR380 ELECTRICAL CHARACTERISTICS ADR381 ELECTRICAL CHARACTERISTICS ABSOLUTE MAXIMUM RATINGS THERMAL RESISTANCE ESD CAUTION TYPICAL PERFORMANCE CHARACTERISTICS TERMINOLOGY THEORY OF OPERATION DEVICE POWER DISSIPATION CONSIDERATIONS INPUT CAPACITOR OUTPUT CAPACITOR APPLICATIONS INFORMATION STACKING REFERENCE ICs FOR ARBITRARY OUTPUTS A NEGATIVE PRECISION REFERENCE WITHOUT PRECISION RESISTORS PRECISION CURRENT SOURCE PRECISION HIGH CURRENT VOLTAGE SOURCE OUTLINE DIMENSIONS ORDERING GUIDE