Datasheet ADL5536 (Analog Devices) - 5
| Manufacturer | Analog Devices |
| Description | 20 MHz TO 1.0 GHz IF Gain Block |
| Pages / Page | 14 / 5 — Data Sheet. ADL5536. TYPICAL SCATTERING PARAMETERS (S-PARAMETERS). Table … |
| Revision | B |
| File Format / Size | PDF / 330 Kb |
| Document Language | English |
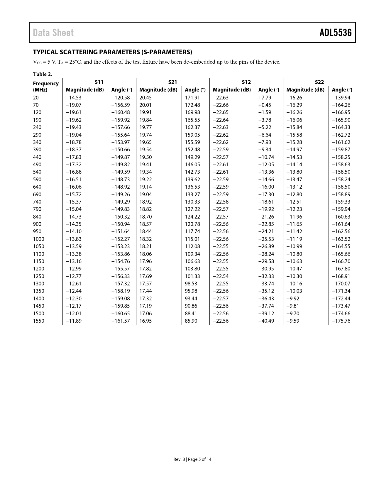
Data Sheet. ADL5536. TYPICAL SCATTERING PARAMETERS (S-PARAMETERS). Table 2. Frequency. S11. S21. S12. S22. (MHz). Magnitude (dB)

Model Line for this Datasheet
Text Version of Document
Data Sheet ADL5536 TYPICAL SCATTERING PARAMETERS (S-PARAMETERS)
VCC = 5 V, TA = 25°C, and the effects of the test fixture have been de-embedded up to the pins of the device.
Table 2. Frequency S11 S21 S12 S22 (MHz) Magnitude (dB) Angle (°) Magnitude (dB) Angle (°) Magnitude (dB) Angle (°) Magnitude (dB) Angle (°)
20 −14.53 −120.58 20.45 171.91 −22.63 +7.79 −16.26 −139.94 70 −19.07 −156.59 20.01 172.48 −22.66 +0.45 −16.29 −164.26 120 −19.61 −160.48 19.91 169.98 −22.65 −1.59 −16.26 −166.95 190 −19.62 −159.92 19.84 165.55 −22.64 −3.78 −16.06 −165.90 240 −19.43 −157.66 19.77 162.37 −22.63 −5.22 −15.84 −164.33 290 −19.04 −155.64 19.74 159.05 −22.62 −6.64 −15.58 −162.72 340 −18.78 −153.97 19.65 155.59 −22.62 −7.93 −15.28 −161.62 390 −18.37 −150.66 19.54 152.48 −22.59 −9.34 −14.97 −159.87 440 −17.83 −149.87 19.50 149.29 −22.57 −10.74 −14.53 −158.25 490 −17.32 −149.82 19.41 146.05 −22.61 −12.05 −14.14 −158.63 540 −16.88 −149.59 19.34 142.73 −22.61 −13.36 −13.80 −158.50 590 −16.51 −148.73 19.22 139.62 −22.59 −14.66 −13.47 −158.24 640 −16.06 −148.92 19.14 136.53 −22.59 −16.00 −13.12 −158.50 690 −15.72 −149.26 19.04 133.27 −22.59 −17.30 −12.80 −158.89 740 −15.37 −149.29 18.92 130.33 −22.58 −18.61 −12.51 −159.33 790 −15.04 −149.83 18.82 127.22 −22.57 −19.92 −12.23 −159.94 840 −14.73 −150.32 18.70 124.22 −22.57 −21.26 −11.96 −160.63 900 −14.35 −150.94 18.57 120.78 −22.56 −22.85 −11.65 −161.64 950 −14.10 −151.64 18.44 117.74 −22.56 −24.21 −11.42 −162.56 1000 −13.83 −152.27 18.32 115.01 −22.56 −25.53 −11.19 −163.52 1050 −13.59 −153.23 18.21 112.08 −22.55 −26.89 −10.99 −164.55 1100 −13.38 −153.86 18.06 109.34 −22.56 −28.24 −10.80 −165.66 1150 −13.16 −154.76 17.96 106.63 −22.55 −29.58 −10.63 −166.70 1200 −12.99 −155.57 17.82 103.80 −22.55 −30.95 −10.47 −167.80 1250 −12.77 −156.33 17.69 101.33 −22.54 −32.33 −10.30 −168.91 1300 −12.61 −157.32 17.57 98.53 −22.55 −33.74 −10.16 −170.07 1350 −12.44 −158.19 17.44 95.98 −22.56 −35.12 −10.03 −171.34 1400 −12.30 −159.08 17.32 93.44 −22.57 −36.43 −9.92 −172.44 1450 −12.17 −159.85 17.19 90.86 −22.56 −37.74 −9.81 −173.47 1500 −12.01 −160.65 17.06 88.41 −22.56 −39.12 −9.70 −174.66 1550 −11.89 −161.57 16.95 85.90 −22.56 −40.49 −9.59 −175.76 Rev. B | Page 5 of 14 Document Outline FEATURES FUNCTIONAL BLOCK DIAGRAM GENERAL DESCRIPTION TABLE OF CONTENTS REVISION HISTORY SPECIFICATIONS TYPICAL SCATTERING PARAMETERS (S-PARAMETERS) ABSOLUTE MAXIMUM RATINGS ESD CAUTION PIN CONFIGURATION AND FUNCTION DESCRIPTIONS TYPICAL PERFORMANCE CHARACTERISTICS BASIC CONNECTIONS SOLDERING INFORMATION AND RECOMMENDED PCB LAND PATTERN ACPR PERFORMANCE ERROR VECTOR MAGNITUDE (EVM) PERFORMANCE EVALUATION BOARD OUTLINE DIMENSIONS ORDERING GUIDE