Datasheet AOK30B65M2 (Alpha & Omega) - 4

ManufacturerAlpha & Omega
Description650V, 30A Alpha IGBT With Soft And Fast Recovery Anti-Parallel Diode
Pages / Page9 / 4 — TYPICAL ELECTRICAL AND THERMAL CHARACTERISTICS. ) F. (V). E G. ita. c a …
File Format / SizePDF / 1.3 Mb
Document LanguageEnglish

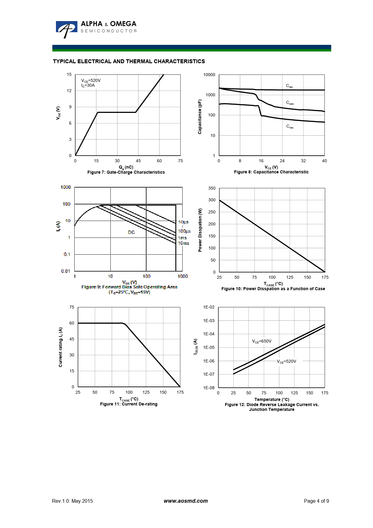
TYPICAL ELECTRICAL AND THERMAL CHARACTERISTICS. ) F. (V). E G. ita. c a p. a C. Q (nC). Figure 7: Gate-Charge Characteristics

TYPICAL ELECTRICAL AND THERMAL CHARACTERISTICS ) F (V) E G ita c a p a C Q (nC) Figure 7: Gate-Charge Characteristics

Model Line for this Datasheet

Text Version of Document

TYPICAL ELECTRICAL AND THERMAL CHARACTERISTICS
15 10000 V =520V CE I =30A C Cies 12 1000
) F
Coes 9
(p (V) e c E G n
100
V ita
6
c a p
Cres
a C
10 3 0 1 0 15 30 45 60 75 0 8 16 24 32 40
Q (nC) V (V) g CE Figure 7: Gate-Charge Characteristics Figure 8: Capacitance Characteristic
350 300
)
250
(W n o ti a
200
p s is
150
r D e w
100
Po
50 0 25 50 75 100 125 150 175
T (°C) C CASE Figure 10: Power Disspation as a Function of Case
75 1E-02 1E-03 60
) (A
1E-04
I C g
45
) n
V =650V CE
ti (A ) ra (S
1E-05
t E n
30
I C rre u
1E-06 V =520V CE
C
15 1E-07 0 1E-08 25 50 75 100 125 150 175 0 25 50 75 100 125 150 175
T (°C) CASE Temperature (°C) Figure 11: Current De-rating Figure 12: Diode Reverse Leakage Current vs. Junction Temperature
Rev.1.0: May 2015
www.aosmd.com
Page 4 of 9