Datasheet TLA432 (Texas Instruments)

ManufacturerTexas Instruments
DescriptionAll-capacitor stable precision programmable reference with RKA pin layout
Pages / Page31 / 1 — TLA431,. TLA432. TLA431, TLA432 All-Capacitor Stable Precision …
File Format / SizePDF / 1.2 Mb
Document LanguageEnglish

TLA431,. TLA432. TLA431, TLA432 All-Capacitor Stable Precision Programmable Reference. 1 Features. 3 Description. 2 Applications

Datasheet TLA432 Texas Instruments

Model Line for this Datasheet

Text Version of Document

link to page 1 link to page 1 link to page 1
TLA431, TLA432
SNVSCR4A – JULY 2024 – REVISED OCTOBER 2024
TLA431, TLA432 All-Capacitor Stable Precision Programmable Reference 1 Features 3 Description
• No output capacitor required The TLA431 and TLA432 devices are three-terminal • Stable with all capacitive loads adjustable shunt regulators that are stable with all • Reference voltage tolerance at 25°C capacitor loads. The devices are pin compatible with – 1% (A grade) the industry standard TL431 and TL432 but with • Adjustable output voltage: V improved stability to support all capacitor loads. The ref to 36V • Operation from −40°C to 125°C output cathode voltage can be set to any value • Typical temperature drift (TLA43xA) between Vref (2.495V) and 36V, with two external – 8mV (I temp) resistors. These devices have a typical output – 11mV (Q temp) impedance of 0.2Ω. Active output circuitry provides • Low Output Noise a very sharp turn-on characteristic, making these • 0.2Ω Typical output impedance devices excellent replacements for Zener diodes • Sink-current capability: 0.2mA to 100mA in many applications, such as onboard regulation, • Pin-compatible with industry-standard TL431 and adjustable power supplies, and switching power TL432 supplies. The TLA431 also functions as a comparator for undervoltage monitoring. The internal amplifier and
2 Applications
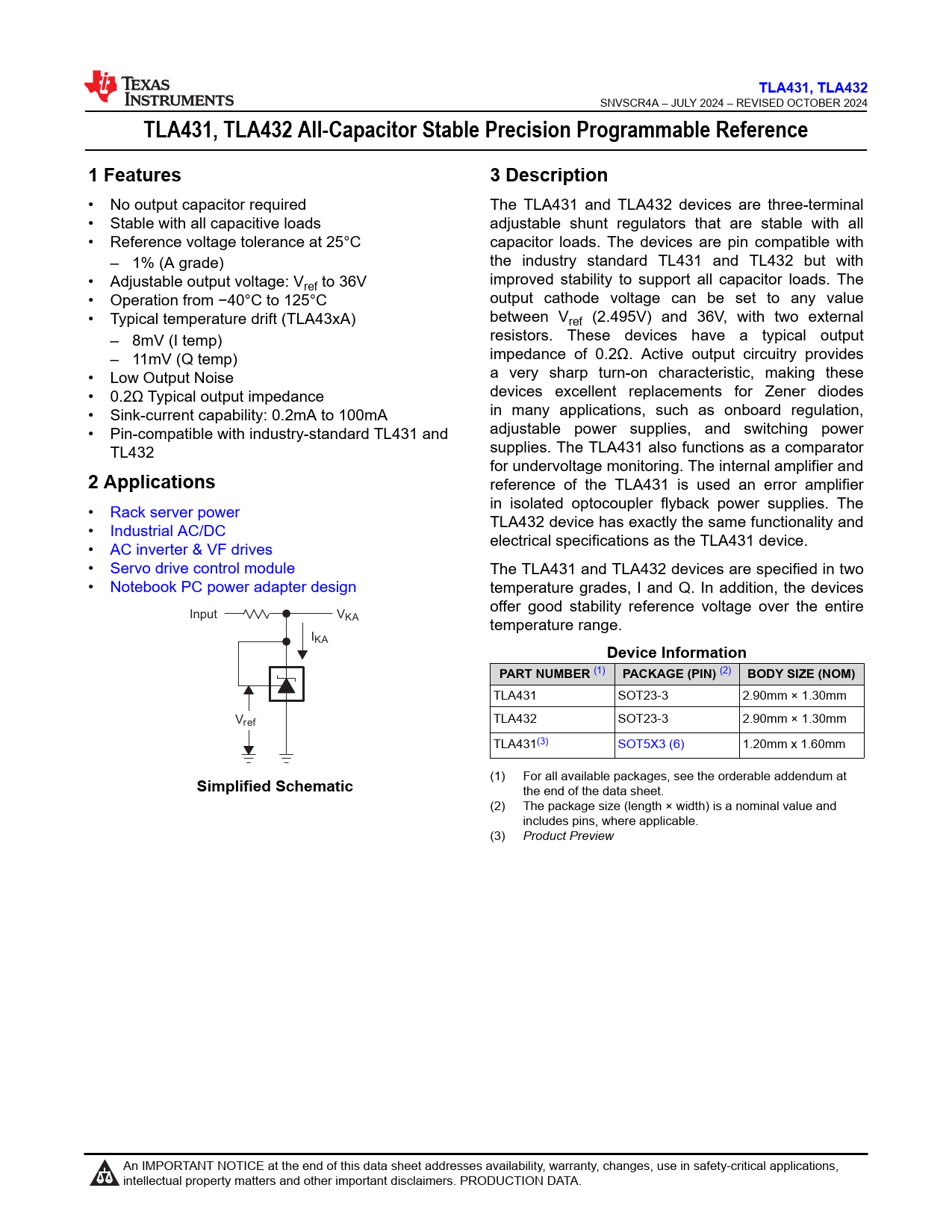
reference of the TLA431 is used an error amplifier • Rack server power in isolated optocoupler flyback power supplies. The • Industrial AC/DC TLA432 device has exactly the same functionality and • AC inverter & VF drives electrical specifications as the TLA431 device. • Servo drive control module The TLA431 and TLA432 devices are specified in two • Notebook PC power adapter design temperature grades, I and Q. In addition, the devices offer good stability reference voltage over the entire Input VKA temperature range. IKA
Device Information PART NUMBER
(1)
PACKAGE (PIN)
(2)
BODY SIZE (NOM)
TLA431 SOT23-3 2.90mm × 1.30mm V TLA432 SOT23-3 2.90mm × 1.30mm ref TLA431(3) SOT5X3 (6) 1.20mm x 1.60mm (1) For all available packages, see the orderable addendum at
Simplified Schematic
the end of the data sheet. (2) The package size (length × width) is a nominal value and includes pins, where applicable. (3) Product Preview An IMPORTANT NOTICE at the end of this data sheet addresses availability, warranty, changes, use in safety-critical applications, intellectual property matters and other important disclaimers. PRODUCTION DATA. Document Outline 1 Features 2 Applications 3 Description Table of Contents 4 Device Comparison Table 5 Pin Configuration and Functions 6 Specifications 6.1 Absolute Maximum Ratings 6.2 ESD Ratings 6.3 Recommended Operating Conditions 6.4 Thermal Information 6.5 Electrical Characteristics 6.6 Typical Characteristics 7 Parameter Measurement Information 7.1 Temperature Coefficient 7.2 Dynamic Impedance 8 Detailed Description 8.1 Overview 8.2 Functional Block Diagram 8.3 Feature Description 8.4 Device Functional Modes 8.4.1 Closed Loop 8.4.1.1 Stability (Closed Loop) 8.4.2 Open Loop (Comparator) 9 Applications and Implementation 9.1 Application Information 9.2 Typical Applications 9.2.1 Shunt Regulator/Reference 9.2.1.1 Design Requirements 9.2.1.2 Detailed Design Procedure 9.2.1.2.1 Programming Output/Cathode Voltage 9.2.1.2.2 Total Accuracy 9.2.1.2.3 Start-Up Time 9.2.1.3 Application Curve 9.2.2 Comparator With Integrated Reference 9.2.2.1 Design Requirements 9.2.2.2 Detailed Design Procedure 9.2.2.2.1 Basic Operation 9.2.2.2.1.1 Overdrive 9.2.2.2.2 Output Voltage and Logic Input Level 9.2.2.2.2.1 Input Resistance 9.2.2.3 Application Curve 9.3 System Examples 9.4 Power Supply Recommendations 9.5 Layout 9.5.1 Layout Guidelines 9.5.2 Layout Example 10 Device and Documentation Support 10.1 Device Nomenclature 10.2 Related Links 10.3 Receiving Notification of Documentation Updates 10.4 Support Resources 10.5 Trademarks 10.6 Electrostatic Discharge Caution 10.7 Glossary 11 Revision History 12 Mechanical, Packaging, and Orderable Information