Abstract
Robust systems often allow multiple power sources. When different power sources are used to power a device, switches need to be implemented to separate the power supplies from each other to avoid damage. This can be accomplished with multiple diodes in the power path. However, a more flexible and much more efficient way is to use ideal diodes for this task. This article explains how such ideal diodes are beneficial. Two versions of ideal diodes are shown: one where the selection of input rail is independent of the voltage level, and a simpler one where the higher voltage always powers the system.
Introduction
There are many applications that can be supplied with several different voltage sources. In addition to a primary energy source, battery-operated devices are often equipped with the option of using a plug-in power supply as an alternative. It is also common to supply power with a wall wart AC-to-DC converter as an additional energy source to a primary power supply via a USB cable.
A variety of the energy supply of a device is not only beneficial for the user, but also enables increased robustness through energy source redundancy.
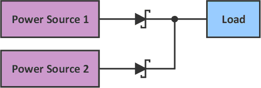
The use of different voltage sources requires a higher effort regarding circuit design. It is often necessary to ensure that one energy source does not flow backward into another energy source and possibly cause damage as a result. Figure 1 shows a simple setup to protect the respective unused voltage source. Diodes are used in the power path. This works reliably but has one major limitation. In such a setup, the energy source with the higher voltage is always used to power the load. The diodes also show a voltage drop of 150 mV to 450 mV in the power path, which generates a high power dissipation, especially at low voltages. With battery-powered devices, this increased power loss is unfavorable.
![]() |
|
| Figure 1. | Two power sources with diodes in the power path to power an application. |
To circumvent the disadvantages mentioned, ideal diodes are suitable. The term ideal diode refers to components that use a switch (usually a MOSFET) instead of a diode. In its switched-on state, an ideal diode has a much lower drop voltage. This voltage drop is based on the actual current flow through the switch and depends on the switch’s on-resistance (RDS(ON)).
Figure 2 shows a circuit with two ideal diodes executed with two LT4422 devices. These integrated circuits have a low voltage drop due to the low resistance in the power path of only 50 mΩ. The IC’s own power consumption is only 10 μA, further keeping the total losses low. Figure 2 shows an additional function. An LED can be added as an indicator for which voltage source is powering the load at any given time.
![]() |
|
| Figure 2. | Two ideal diodes provide higher efficiency and enable additional functions. |
The circuit in Figure 2 is therefore a replacement for the circuit in Figure 1, with a lower power dissipation and extended features, such as the LED indicator.
However, one feature has remained the same in the circuit in Figure 2. The voltage source with the higher value supplies the device with power. The ideal diode (LT4422) has an enable pin (SHDN), but the body diode of the built-in MOSFET becomes conductive when the IN voltage is higher than the OUT voltage. To prevent this, there is a derivative of the LT4422, the LT4423, which uses two MOSFETs in the power path back to back. These are arranged in such a way that the respective body diodes will not allow a current flow if the other MOSFET is not switched on at the same time.
Figure 3 shows a circuit design in which the supply voltage can be freely determined for supplying the load with energy. The behavior is therefore independent of the respective level of the supply voltage. However, since two integrated MOSFETs are required, the resistance in the power path increases from 50 mΩ (LT4422) to 200 mΩ (LT4423) when switched on.
![]() |
|
| Figure 3. | Two ideal diodes with power source selection independent of the respective value of the voltage sources. |
Finally, the version with the two MOSFETs (LT4423) also offers the function of an integrated thermal shutdown. In contrast to a conventional diode, this ideal diode switches off when the component heats up above 160 °C (typically). This feature can create an even more robust system.
Ideal diodes not only help to allow different power supply options for a device, but they also enable greater robustness through implemented redundancy. In addition, ideal diodes offer features such as detection of the supply status with an LED and protection shutdown in the event of excessive temperatures.
Conclusion
Ideal diodes are useful replacements for regular diodes to increase the power efficiency in systems with multiple power sources. Besides the reduction of power losses, such ideal diodes also offer flexibility along with additional features. They are easy to use and simple to design with. This is especially true when devices with a high integration are used, such as the LT4422 and LT4423.


