Infineon Technologies introduces the new OptiMOS™ IR3826(A)M integrated point-of-load DC-DC voltage regulator. It is a fully integrated and highly efficient device in two versions (IR3826AM for 16 A and IR3826M for 23 A) for applications such as netcom router and switches, datacom, telecom base stations, server and enterprise storage.

The voltage regulator can operate from an input voltage of 12 V (5 V to 17 V) and provide up to 16 A or 23 A continuous current. It enables high-switching-frequency operations with enhanced efficiency and reduced power losses compared to previous generations of Infineon’s offering. Furthermore, the device supports high switching frequency of up to 1.5 MHz for small PCB size and less capacitors.
![]() |
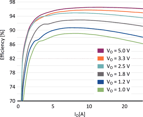
| The IR3826 efficiency vs. output current. VIN = 12 V, FSW = 600 kHz, natural convection, TA = 25 °C. |
Both current ratings are offered in PQFN package with 5 mm × 6 mm footprint for easy scalability. Parts are pin-compatible to the previous product offerings to allow risk-free efficiency upgrade with minimum design effort.
The IR3826(A)M solves the heat challenge without or with minimum airflow in thermally constrained application designs such us 3.3 V or 5 V supply voltages. Additionally, it supports applications that operate with high ambient temperature, e.g., 85 °C for telecom.
The state-of-the-art PWM Gen 3 engine of the devices allows operation with fixed frequency to reduce noise in multi-rail telecom or high-end Netcom applications, like base stations.
The devices are fully RoHS2 compliant without an exemption to accommodate future regulations.
Availability
High volume production has started. Evaluation boards are also available.
![]() |
| EVAL_3826A evaluation board. |

